【药物名称】
化学结构式(Chemical Structure):
参考文献No.32770
标题:New cyclic guanidines, process for preparing the same and medicaments
作者:Kucznierz, R.; Von der Saal, W.; Leinert, H.; Grams, F.; Stegmeier, K. (Roche Diagnostics GmbH)
来源:DE 19530996; EP 0846115; JP 1999511445; WO 9708165
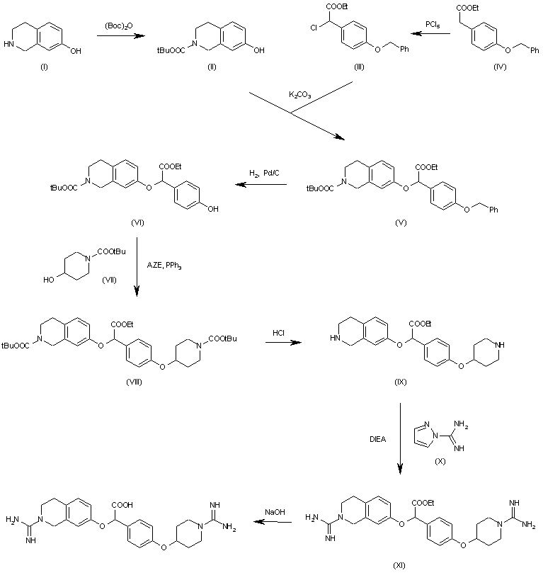
合成路线图解说明:

The reaction of 7-hydroxy-1,2,3,4-tetrahydroisoquinoline (I) with di-tert-butyl dicarbonate and triethylamine in dichloromethane gives 7-hydroxy-1,2,3,4-tetrahydroisoquinoline-2-carboxylic acid tert-butyl ester (II), which is condensed with 2-(4-benzyloxyphenyl)-2-chloroacetic acid ethyl ester (III) (obtained by chlorination of 2-(4-benzyloxyphenyl)acetic acid ethyl ester (IV) with PCl5), by means of K2CO3 in refluxing acetonitrile yields the disubstituted acetate (V). The selective debenzylation of (V) with H2 over Pd/C in ethyl acetate affords the phenol (VI), which is alkylated with 4-hydroxypiperidine-1-carboxylic acid tert-butyl ester (VII) by means of diethyl azodicarboxylate (AZE) and triphenyl phosphine providing the protected intermediate (VIII). The deprotection of (VIII) with HCl in ethanol gives intermediate (IX) with two free NH groups, which is treated with pyrazole-1-carboxamidine (X) and diisopropylethylamine (DIEA) in DMF yielding the bis amidino derivative (XI), which is finally hydrolyzed with NaOH in ethanol/water.

Drug Information Express,Drug R&D,Chemical Database,Patent Search.
Copyright © 2006-2026 Drug Future. All rights reserved.Contact Us