【药物名称】YJA-20379-8
化学结构式(Chemical Structure):
参考文献No.38610
标题:4-Amino-3-acylnaphthyridine derivs.
作者:Sohn, S.K.; Chang, M.S.; Kim, S.G.; Chung, K.J.; Kang, D.P.; Kim, Y.H.; Kang, B.G.; Choi, W.S.; Seo, K.H.; Yoo, H.Y.; Paek, J.H. (Yung-Jin Pharmaceutical Co., Ltd.)
来源:WO 9703074
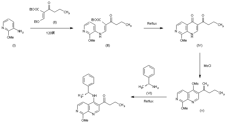
合成路线图解说明:

The condensation of 2-methoxypyridine-3-amine (I) with ethyl 2-(ethoxymethylene)-3-oxohexanoate (II) by heating at 120-30 C gives the aminoacrylate ewster (III), which is cyclized by heating in refluxing diphenyl ether to yield the naphthyridinone (IV). The reaction of (IV) with methanesulfonyl chloride and triethylamine in dichloromethane affords the methanesulfonyloxy naphthyridine (V), which is finally condensed with (R)-1-phenylethylamine (VI) in refluxing acetonitrile.

Drug Information Express,Drug R&D,Chemical Database,Patent Search.
Copyright © 2006-2026 Drug Future. All rights reserved.Contact Us