【药物名称】
化学结构式(Chemical Structure):
参考文献No.480203
标题:Biologically selective potassium channel openers having 1,1-diethylpropyl group
作者:Yoshiizumi, K.; Seko, N.; Nishimura, N.; Ikeda, S.; Yoshino, K.; Kondo, H.; Tanizawa, K.
来源:Bioorg Med Chem Lett 1998,8(23),3397
合成路线图解说明:

Treatment of 3-chloro-5-cyanoaniline (I) with thiophosgene afforded the corresponding aryl isothiocyanate (II). Ritter reaction of 3-ethyl-3-pentanol (III) using NaCN and H2SO4 produced formamide (IV), which was hydrolyzed to amine (V) with NaOH. Then, condensation of isothiocyanate (II) with amine (V) yielded thiourea (VI). Subsequent removal of H2S in (VI) by treatment with PPh3, CCl4 and Et3N gave carbodiimide (VII). Finally, addition of cyanamide to (VII) in the presence of i-Pr2NEt furnished the required cyanoguanidine.

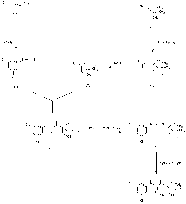
合成路线图解说明:

Treatment of 3,5-dichloroaniline (I) with thiophosgene afforded the corresponding aryl isothiocyanate (II). Ritter reaction of 3-ethyl-3-pentanol (III) using NaCN and H2SO4 produced formamide (IV), which was hydrolyzed to amine (V) with NaOH. Then, condensation of isothiocyanate (II) with amine (V) yielded thiourea (VI). Subsequent removal of H2S in (VI) by treatment with PPh3, CCl4 and Et3N gave carbodiimide (VII). Finally, addition of cyanamide to (VII) in the presence of i-Pr2NEt furnished the required cyanoguanidine.

Drug Information Express,Drug R&D,Chemical Database,Patent Search.
Copyright © 2006-2026 Drug Future. All rights reserved.Contact Us