【药物名称】
化学结构式(Chemical Structure):
参考文献No.480200
标题:Novel B-ring modified combretastatin analogues: Synthesis and antineoplastic activity
作者:Hatanaka, T.; Fujita, K.; Ohsumi, K.; Nakagawa, R.; Fukuda, Y.; Nihei, Y.; Suga, Y.; Akiyama, Y.; Tsuji, T.
来源:Bioorg Med Chem Lett 1998,8(23),3371
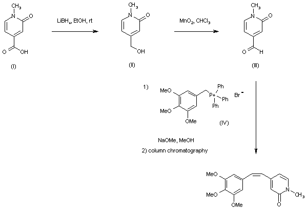
合成路线图解说明:

Reduction of N-methyl-2-pyridone-4-carboxylic acid (I) with LiBH4 provided alcohol (II), which was further oxidized to aldehyde (III) with MnO2. Wittig reaction of (III) with trimethoxybenzylphosphonium salt (IV) in the presence of NaOMe provided a mixture of E and Z olefins, from which the target Z isomer was isolated by column chromatography.

合成路线图解说明:

Title compound was prepared by Wittig reaction of 2-methoxypyridine-5-carboxaldehyde (I) with trimethoxybenzylphosphonium salt (II) in the presence of NaOMe, followed by chromatographic separation of the mixture of E and Z isomers.

Drug Information Express,Drug R&D,Chemical Database,Patent Search.
Copyright © 2006-2026 Drug Future. All rights reserved.Contact Us