【药物名称】
化学结构式(Chemical Structure):
参考文献No.37664
标题:Substd. pyrrolopyridines useful in the treatment of inflammatory diseases
作者:Dodd, J.H.; Henry, J.R.; Rupert, K. (Ortho-McNeil Pharmaceutical, Inc.)
来源:WO 9847899
合成路线图解说明:

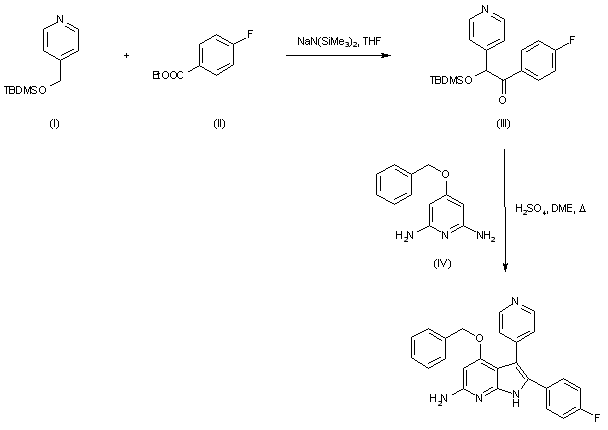
Sylilated hydroxymethylpyridine (I) was condensed with ethyl 4-fluorobenzoate (II) in the presence of sodium hemamethyldisilazide to produce the silyloxy ketone (III). Subsequent reaction of (III) with diaminopyrimidine (IV) in the presence of H2SO4 in refluxing dimethoxyethane yielded the title pyrrolopyridine.

参考文献No.480198
标题:Potent inhibitors of the MAP kinase p38
作者:Henry, J.R.; Rupert, K.C.; Dodd, J.H.; Turchi, I.J.; Wadsworth, S.A.; Cavender, D.E.; Schafer, P.H.; Siekierka, J.J.
来源:Bioorg Med Chem Lett 1998,8(23),3335
合成路线图解说明:

Sylilated hydroxymethylpyridine (I) was condensed with ethyl 4-fluorobenzoate (II) in the presence of sodium hemamethyldisilazide to produce the silyloxy ketone (III). Subsequent reaction of (III) with diaminopyrimidine (IV) in the presence of H2SO4 in refluxing dimethoxyethane yielded the title pyrrolopyridine.

Drug Information Express,Drug R&D,Chemical Database,Patent Search.
Copyright © 2006-2026 Drug Future. All rights reserved.Contact Us