【药物名称】
化学结构式(Chemical Structure):
参考文献No.480194
标题:A new series of C3-aza carbocyclic influenza neuraminidase inhibitors: Synthesis and inhibitory activity
作者:Lew, W.; Wu, H.; Mendel, D.B.; Escarpe, P.A.; Chen, X.; Laver, W.G.; Graves, B.J.; Kim, C.U.
来源:Bioorg Med Chem Lett 1998,8(23),3321
合成路线图解说明:

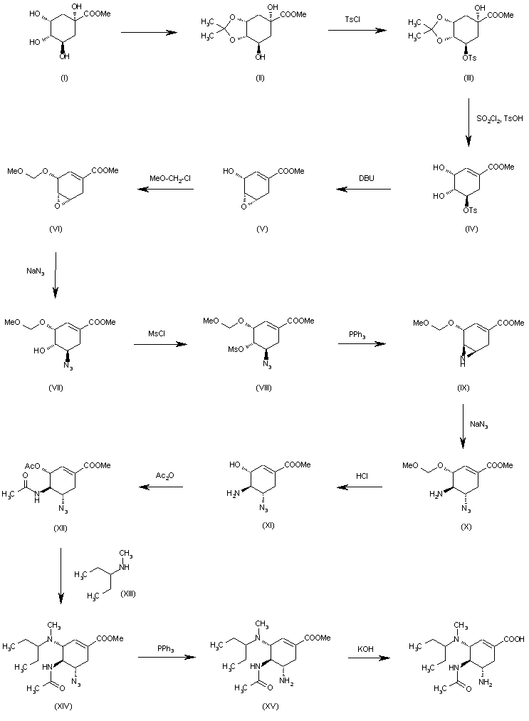
(-)-Quinic acid (I) is converted into the acetonide (II) in the usual way and its secondary alcohol is converted into the tosylate (III) by reaction with tosyl chloride and DMAP in pyridine. The dehydration of (III) with SOCl2 and pyridine in methanol yields the cyclohexenecarboxylate (IV), which is epoxidized by means of DBU inb THF affording the epoxide (V). The protection of the free hydroxy group of (V) with methoxymethyl chloride and DIPEA in dichloromethane gives the ether (VI), which is treated with sodium azide in methanol yielding the azido alcohol (VII). The reaction of (VII) with methanesulfonyl chloride and triethylamine in dichloromethane affords the mesylate (VIII), which is submitted to a reductocyclization with triphenylphosphine in in THF providing the aziridine (IX). The cleavage of the aziridine group of (IX) with sodium azide in DMF gives the amino azide (X), which is deprotected at the methoxymethyl ether by a treatment with HCl in methanol to afford the alcohol (XI). The acetylation of (XI) with acetic anhydride in pyridine gives the N,O-diacetyl derivative (XII), which is condensed with N-(1-ethylpropyl)-N-methylamine (XIII) by means of palladium tetrakis(triphenylphosphine) in THF yielding the tertiary amine (XIV). The azido group of (XIV) in then reduced with triphenylphosphine in THF/water providing the amino intermediate (XV), which is finally hydrolyzed with KOH in aqueous THF.

参考文献No.555924
标题:Influenza neuraminidase inhibitors possessing a novel hydrophobic interaction in the enzyme active site: Design, synthesis, and structural analysis of carbocyclic sialic acid analogues with potent anti-influenza activity
作者:Williams, M.A.; Lew, W.; Kim, C.U.; et al.
来源:J Am Chem Soc 1997,119(4),681
合成路线图解说明:

(-)-Quinic acid (I) is converted into the acetonide (II) in the usual way and its secondary alcohol is converted into the tosylate (III) by reaction with tosyl chloride and DMAP in pyridine. The dehydration of (III) with SOCl2 and pyridine in methanol yields the cyclohexenecarboxylate (IV), which is epoxidized by means of DBU inb THF affording the epoxide (V). The protection of the free hydroxy group of (V) with methoxymethyl chloride and DIPEA in dichloromethane gives the ether (VI), which is treated with sodium azide in methanol yielding the azido alcohol (VII). The reaction of (VII) with methanesulfonyl chloride and triethylamine in dichloromethane affords the mesylate (VIII), which is submitted to a reductocyclization with triphenylphosphine in in THF providing the aziridine (IX). The cleavage of the aziridine group of (IX) with sodium azide in DMF gives the amino azide (X), which is deprotected at the methoxymethyl ether by a treatment with HCl in methanol to afford the alcohol (XI). The acetylation of (XI) with acetic anhydride in pyridine gives the N,O-diacetyl derivative (XII), which is condensed with N-(1-ethylpropyl)-N-methylamine (XIII) by means of palladium tetrakis(triphenylphosphine) in THF yielding the tertiary amine (XIV). The azido group of (XIV) in then reduced with triphenylphosphine in THF/water providing the amino intermediate (XV), which is finally hydrolyzed with KOH in aqueous THF.

Drug Information Express,Drug R&D,Chemical Database,Patent Search.
Copyright © 2006-2026 Drug Future. All rights reserved.Contact Us