【药物名称】SMP-114
化学结构式(Chemical Structure):
参考文献No.37653
标题:Isoxazole derivs.
作者:Ueno, Y.; Okada, S.; Nakatsuka, M.; Nishikaku, F. (Sumitomo Pharmaceuticals Co., Ltd.)
来源:EP 0979226; JP 1999240873; US 6100260; WO 9847880
合成路线图解说明:

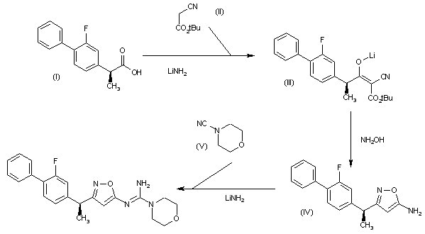
The condensation of 2(S)-(2-fluorobiphenyl-4-yl)propionic acid (I) with tert-butyl cyanacetate (II) by means of lithium amide in THF gives lithium enolate (III), which is cyclized with hydroxylamine in aqueous DMF to yield the 5-aminoisoxazole (IV). Finally, this compound is condensed with morpholine-4-carbonitrile by means of lithium amide in toluene/tert-butanol to afford the target amidine.

参考文献No.629840
标题:Novel disease modifying anti-rheumatic agents (DMARDs): Syntheses and SAR of 5-guanidinoisoxazoles
作者:Nakatsuka, M.; et al.
来源:222nd ACS Natl Meet (Aug 26 2001, Chicago) 2001,Abst MEDI 269
合成路线图解说明:

The condensation of 2(S)-(2-fluorobiphenyl-4-yl)propionic acid (I) with tert-butyl cyanacetate (II) by means of lithium amide in THF gives lithium enolate (III), which is cyclized with hydroxylamine in aqueous DMF to yield the 5-aminoisoxazole (IV). Finally, this compound is condensed with morpholine-4-carbonitrile by means of lithium amide in toluene/tert-butanol to afford the target amidine.

Drug Information Express,Drug R&D,Chemical Database,Patent Search.
Copyright © 2006-2026 Drug Future. All rights reserved.Contact Us