【药物名称】
化学结构式(Chemical Structure):
参考文献No.480190
标题:Efficient construction of 6-azasteroids: Dual inhibitors of steroidal 5alpha-reductase
作者:Sharp, M.J.; Fang, F.G.
来源:Bioorg Med Chem Lett 1998,8(23),3291
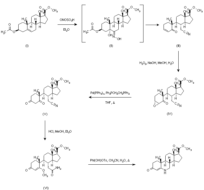
合成路线图解说明:

Treatment of the 3b-hydroxyetienic acid derivative (I) with nitrosylsulfuric acid in Et2O produced the enone 5,6-seconitrile (III) through a Beckmann fragmentation of the intermediate a-hydroxy oxime (II) and subsequent b-elimination. Enone (III) was epoxidized with H2O2 and NaOH to produce epoxyketone (IV), which was rearranged to diketone (V) using tetrakis(triphenylphosphine)-palladium and 1,2-bis(diphenylphosphine)ethane as the catalysts. The nitrile group of (V) was subsequently hydrolyzed to amide with HCl in MeOH-Et2O at 0 C, with concurrent transformation to the enol ether (VI), which was accompanied by its vinylogous ester isomer. Then, a tandem Hoffmann rearrangement-cyclocondensation reaction upon treating with hydroxy(tosyloxy)iodobenzene afforded the 6-azasteroid.

Drug Information Express,Drug R&D,Chemical Database,Patent Search.
Copyright © 2006-2026 Drug Future. All rights reserved.Contact Us