【药物名称】CW-252053
化学结构式(Chemical Structure):
参考文献No.209400
标题:Design of thymidylate synthase inhibitors using protein crystal structures: The synthesis and biological evaluation of a novel class of 5-substituted quinazolinones
作者:Webber, S.E.; Bleckman, T.M.; Attard, J.; Deal, J.G.; Kathardekar, V.; Welsh, K.M.; Webber, S.; Janson, C.A.; Matthews, D.A.; Smith, W.W.; et al.
来源:J Med Chem 1993,36(6),733
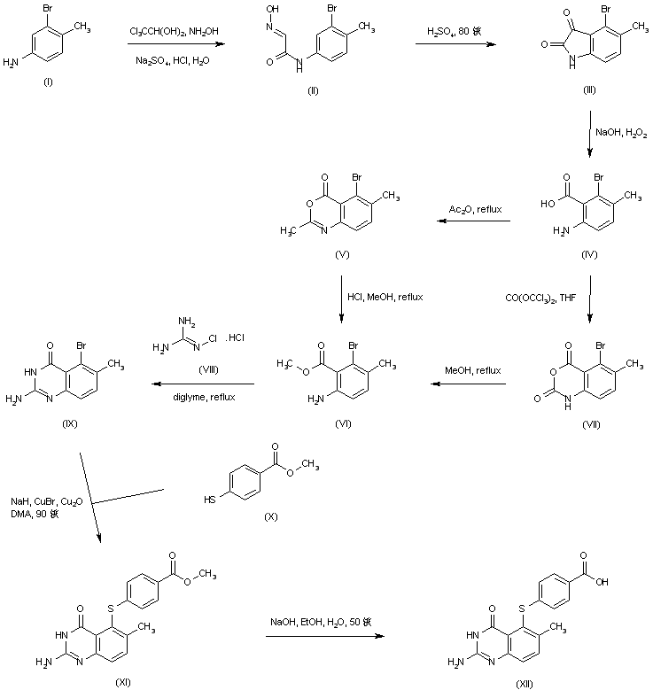
合成路线图解说明:

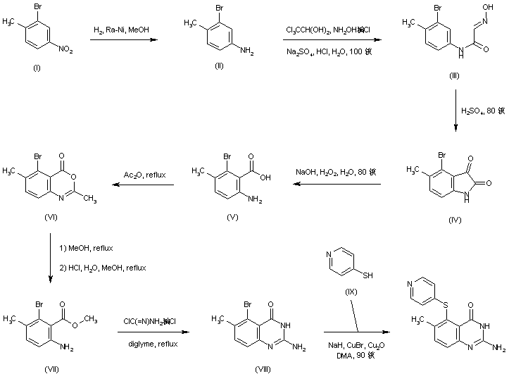
Catalytic hydrogenation of 2-bromo-4-nitrotoluene (I) over Raney-Ni provided aniline (II). Reaction of (II) with chloral hydrate and hydroxylamine gave rise to the isonitrosoacetanilide (III), which was subsequently cyclized to the isatin (IV) by heating in concentrated H2SO4. Oxidative cleavage of isatin (IV) produced the anthranilic acid (V). This was converted to the benzoxazinone (VI) upon refluxing with acetic anhydride. Ring opening of benzoxazinone (VI) with MeOH, followed by acidic hydrolysis of the acetamide function, yielded the anthranilate ester (VII). The quinazoline derivative (VIII) was then obtained by treatment of anthranilate (VII) with chloroformamidine hydrochloride in refluxing diglyme. Finally, displacement of the bromide group of (VIII) with the sodium thiolate of 4-mercaptopyridine (IX) under Ullmann conditions afforded the title pyridyl sulfide.

合成路线图解说明:

3-Bromo-4-methylaniline (I) was converted to the isonitrosoacetanilide (II) upon treatment with chloral hydrate and hydroxylamine. Cyclization of (II) in hot sulfuric acid produced the isatin (III) along with its 6-bromo regioisomer. Anthranilic acid (IV) was then obtained by oxidative cleavage of isatin (III). Esterification of anthranilic acid (IV) was achieved by conversion to the benzoxazinone (V) with acetic anhydride, followed by conversion to methyl anthranilate (VI) in boiling methanol. Alternatively, anthranilic acid (IV) was activated as the isatoic anhydride (VII) with triphosgene and then reacted with MeOH. Anthranilate (VI) was converted to the aminoquinazolinone (IX) upon condensation with chloroformamidine hydrochloride (VIII) at elevated temperature. Coupling of bromide (IX) with methyl 4-mercaptobenzoate (X) under Ullmann reaction conditions furnished thioether (XI). The methyl ester group was then hydrolyzed to the acid (XII) with NaOH in aqueous EtOH.

参考文献No.480188
标题:Synthesis of 5-substituted quinazolinone derivatives and their inhibitory activity in vitro
作者:Baek, D.-J.; Park, Y.-K.; Heo, H.I.; Lee, M.; Yang, Z.; Choi, M.
来源:Bioorg Med Chem Lett 1998,8(23),3287
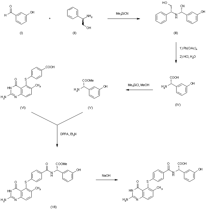
合成路线图解说明:

Strecker condensation of 3-hydroxybenzaldehyde (I) with trimethylsilyl cyanide in the presence of (S)-2-phenylglycine (II) yielded the chiral aminonitrile (III) as the major diastereoisomer. Oxidative cleavage of the chiral auxiliary of (III) with lead tetraacetate, followed by acid hydrolysis of the nitrile group provided the (S)-amino acid (IV), which was esterified with MeOH and Me3SiCl. The resulting aminoester (V) was coupled with carboxylic acid (VI) using diphenylphosphoryl azide to form amide ester (VII). Finally, saponification of the methyl ester of (VIII) afforded the target carboxylic acid.

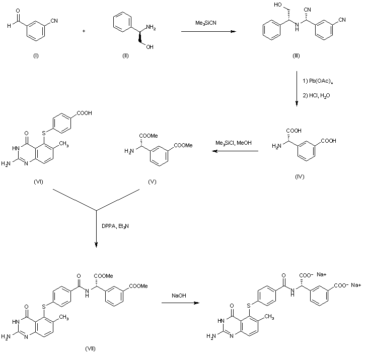
合成路线图解说明:

Strecker condensation of 3-cyanobenzaldehyde (I) with trimethylsilyl cyanide in the presence of (S)-2-phenylglycine (II) yielded the chiral aminonitrile (III) as the major diastereoisomer. Oxidative cleavage of the chiral auxiliary of (III) with lead tetraacetate, followed by acid hydrolysis of the nitrile groups provided the (S)-amino acid (IV), which was esterified with MeOH and Me3SiCl. The resulting aminoester (V) was coupled with carboxylic acid (VI) using diphenylphosphoryl azide to form amide ester (VII). Finally, saponification of both methyl esters of (VII) afforded the target dicarboxylate salt.

Drug Information Express,Drug R&D,Chemical Database,Patent Search.
Copyright © 2006-2026 Drug Future. All rights reserved.Contact Us