【药物名称】
化学结构式(Chemical Structure):
参考文献No.480180
标题:N-Arylrolipram derivatives as potent and selective PDE4 inhibitors
作者:Bacher, E.; Boer, C.; Bray-French, K.; Demnitz, F.W.; Keller, T.H.; Mazzoni, L.; M黮ler, T.; Walker, C.
来源:Bioorg Med Chem Lett 1998,8(22),3229
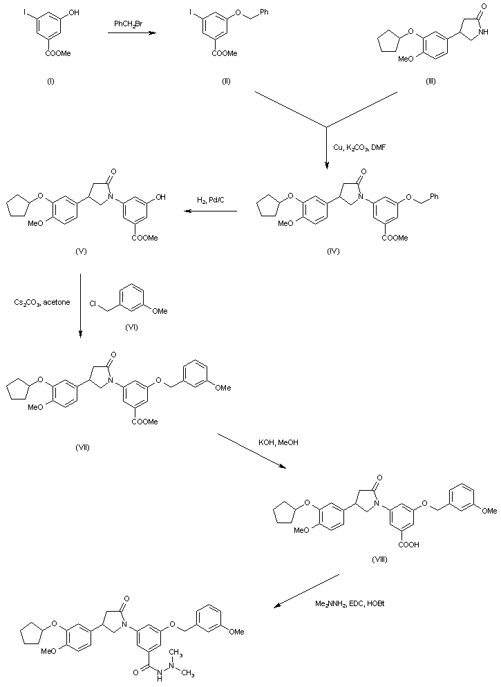
合成路线图解说明:

Methyl 5-hydroxy-3-iodobenzoate (I) was protected as the benzyl ether (II). Subsequent coupling of (II) with rolipram (III) in the presence of K2CO3 and copper catalyst afforded the N-aryl derivative (IV), which was debenzylated by hydrogenation over Pd/C. The resulting phenol (V) was alkylated with 3-methoxybenzyl chloride (VI) to provide ether (VII). Further basic hydrolysis of the methyl ester of (VII) yielded the corresponding carboxylic acid (VIII). This was finally coupled with N,N-dimethylhydrazine by means of EDC and HOBt to furnish the target hydrazide.

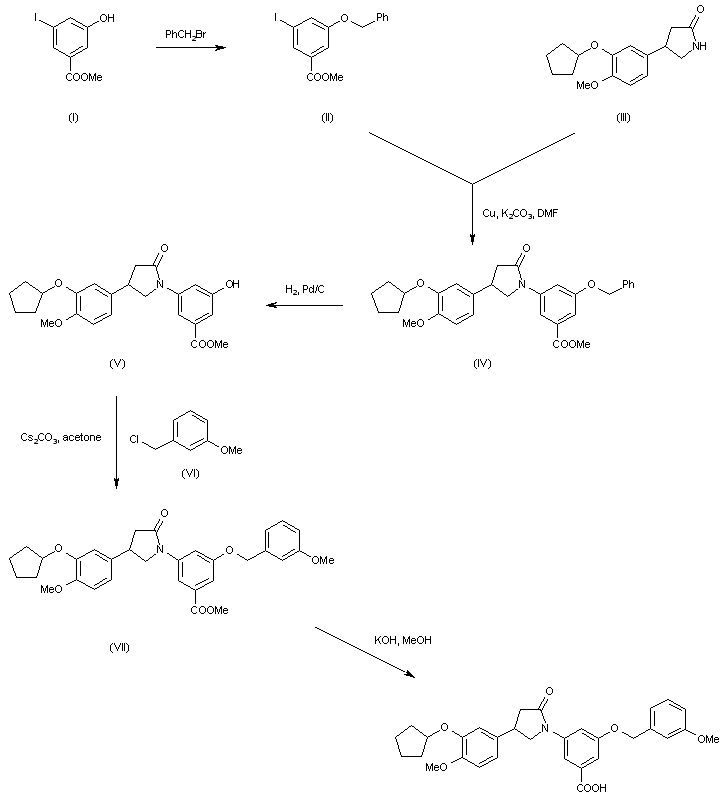
合成路线图解说明:

Methyl 5-hydroxy-3-iodobenzoate (I) was protected as the benzyl ether (II). Subsequent coupling of (II) with rolipram (III) in the presence of K2CO3 and copper catalyst afforded the N-aryl derivative (IV), which was debenzylated by hydrogenation over Pd/C. The resulting phenol (V) was alkylated with 3-methoxybenzyl chloride (VI) to provide ether (VII). Finally, basic hydrolysis of the methyl ester of (VII) furnished the corresponding carboxylic acid.

Drug Information Express,Drug R&D,Chemical Database,Patent Search.
Copyright © 2006-2026 Drug Future. All rights reserved.Contact Us