【药物名称】
化学结构式(Chemical Structure):
参考文献No.26003
标题:Tri-substd. imidazoles having multiple therapeutic properties
作者:Adams, J.L.; Sheldrake, P.W.; Gallagher, T.F.; Garigipati, R.S.; Bender, P.E.; Boehm, J.C. (SmithKline Beecham plc)
来源:EP 0708768; WO 9502591
合成路线图解说明:

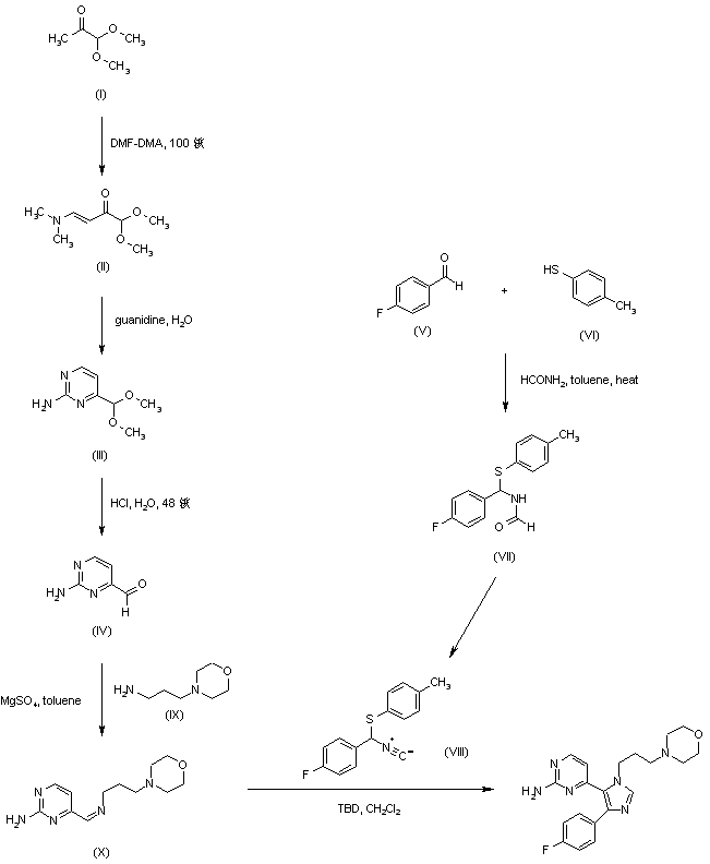
Condensation of pyruvic aldehyde dimethyl acetal (I) with dimethylformamide dimehylacetal provided ketoenamine (II). This was cyclized with guanidine to afford aminopyrimidine (III). Then, hydrolysis of the dimethyl acetal of (III) with 3 M HCl yielded aldehyde (IV). 4-Fluorobenzaldehyde (V) was condensed with thiocresol (VI) and formamide in refluxing toluene to give 4-fluorophenyl-tolylthiomethyl formamide (VII), which was dehydrated to isocyanide (VIII) with POCl3 and Et3N at -30 C. Finally, imine (X), (obtained from pyrimidine aldehyde (IV) and 4-(3-aminopropyl)morpholine (IX)), was condensed with isocyanide (VIII) in the presence of 1,5,7-triazabicyclo[4.4.0]dec-5-ene to furnish the title imidazole.

参考文献No.37758
标题:Imidazole cpds., use and process of making
作者:Adams, J.L.; Boehm, J.C.
来源:US 5593991
合成路线图解说明:

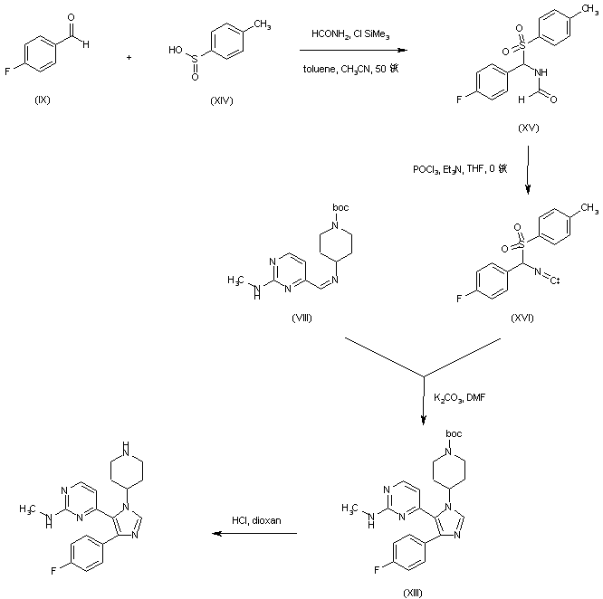
The condensation of pyruvic aldehyde dimethyl acetal (I) with dimethylformamide dimethyl acetal (II) afforded ketoenamine (III), which was condensed with N-methyl guanidine (IV) to give pyrimidine (V). Acid hydrolysis of the acetal function of (V) yielded pyrimidine carboxaldehyde (VI), which was converted to the imine (VIII) by treatment with 1-Boc-4-aminopiperidine (VII). Isonitrile (XII) was prepared by condensation of 4-fluorobenzaldehyde (IX) with formamide and p-thiocresol (X), followed by dehydration of the resulting formamide (XI) by means of POCl3 and Et3N. Reaction of isonitrile (XII) with imine (VIII) in the presence of 1,5,7-triazabicyclo[4.4.0]dec-5-ene (TBD) produced imidazole (XIII). Finally, acid deprotection of the Boc group of (XIII) provided the title compound.

合成路线图解说明:

In a related procedure, condensation of 4-fluorobenzaldehyde (IX) with formamide and p-toluenesulfinic acid (XIV) produced the tosyl formamide (XV), which was dehydrated by means of POCl3 and Et3N to give isonitrile (XVI). Imidazole (XIII) was then obtained by reaction of this isonitrile with imine (VIII). Finally, the Boc protecting group of (XIII) was removed by acid treatment as above.

合成路线图解说明:

Two related syntheses have been reported for this compound. The intermediate alpha-tosyl-(4-fluorobenzyl)isonitrile (V) was prepared by condensation of 4-fluorobenzaldehyde (I), p-toluenesulfinic acid (II) and formamide (III) in the presence of chlorotrimethylsilane (1-4), followed by dehydration of the resulting formamide derivative (IV) with POCl3 and triethylamine.

合成路线图解说明:

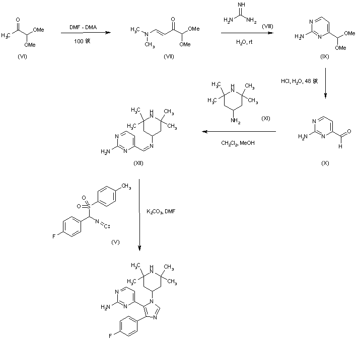
In the original procedure, pyruvic aldehyde dimethyl acetal (VI) was condensed with N,N-dimethylformamide dimethyl acetal to give enaminoketone (VII). Subsequent reaction of (VII) with guanidine (VIII) provided 2-aminopyrimidine-4-carboxaldehyde dimethyl acetal (IX), which was hydrolyzed to the corresponding aldehyde (X) with 3 N HCl at 48 C. This was condensed with 4-amino-2,2,6,6-tetramethylpiperidine (XI) to produce imine (XII). Finally, reaction between imine (XII) and tosyl isonitrile (V) in the presence of K2CO3 generated the target imidazole.

合成路线图解说明:

Condensation of pyruvic aldehyde dimethyl acetal (I) with dimethylformamide dimehylacetal provided ketoenamine (II). This was cyclized with guanidine to afford aminopyrimidine (III). Then, hydrolysis of the dimethyl acetal of (III) with 3 M HCl yielded aldehyde (IV). 4-Fluorobenzaldehyde (V) was condensed with thiocresol (VI) and formamide in refluxing toluene to give 4-fluorophenyl-tolylthiomethyl formamide (VII), which was dehydrated to isocyanide (VIII) with POCl3 and Et3N at -30 C. Finally, imine (X), (obtained from pyrimidine aldehyde (IV) and 4-(3-aminopropyl)morpholine (IX)), was condensed with isocyanide (VIII) in the presence of 1,5,7-triazabicyclo[4.4.0]dec-5-ene to furnish the title imidazole.

参考文献No.37759
标题:Pyridyl imidazole cpds. and compsns.
作者:Garigipati, R.S.; Adams, J.L.; Boehm, J.C. (SmithKline Beecham Corp.)
来源:US 5670527
合成路线图解说明:

The condensation of pyruvic aldehyde dimethyl acetal (I) with dimethylformamide dimethyl acetal (II) afforded ketoenamine (III), which was condensed with N-methyl guanidine (IV) to give pyrimidine (V). Acid hydrolysis of the acetal function of (V) yielded pyrimidine carboxaldehyde (VI), which was converted to the imine (VIII) by treatment with 1-Boc-4-aminopiperidine (VII). Isonitrile (XII) was prepared by condensation of 4-fluorobenzaldehyde (IX) with formamide and p-thiocresol (X), followed by dehydration of the resulting formamide (XI) by means of POCl3 and Et3N. Reaction of isonitrile (XII) with imine (VIII) in the presence of 1,5,7-triazabicyclo[4.4.0]dec-5-ene (TBD) produced imidazole (XIII). Finally, acid deprotection of the Boc group of (XIII) provided the title compound.

合成路线图解说明:

In a related procedure, condensation of 4-fluorobenzaldehyde (IX) with formamide and p-toluenesulfinic acid (XIV) produced the tosyl formamide (XV), which was dehydrated by means of POCl3 and Et3N to give isonitrile (XVI). Imidazole (XIII) was then obtained by reaction of this isonitrile with imine (VIII). Finally, the Boc protecting group of (XIII) was removed by acid treatment as above.

合成路线图解说明:

In the original procedure, pyruvic aldehyde dimethyl acetal (VI) was condensed with N,N-dimethylformamide dimethyl acetal to give enaminoketone (VII). Subsequent reaction of (VII) with guanidine (VIII) provided 2-aminopyrimidine-4-carboxaldehyde dimethyl acetal (IX), which was hydrolyzed to the corresponding aldehyde (X) with 3 N HCl at 48 C. This was condensed with 4-amino-2,2,6,6-tetramethylpiperidine (XI) to produce imine (XII). Finally, reaction between imine (XII) and tosyl isonitrile (V) in the presence of K2CO3 generated the target imidazole.

合成路线图解说明:

Condensation of pyruvic aldehyde dimethyl acetal (I) with dimethylformamide dimehylacetal provided ketoenamine (II). This was cyclized with guanidine to afford aminopyrimidine (III). Then, hydrolysis of the dimethyl acetal of (III) with 3 M HCl yielded aldehyde (IV). 4-Fluorobenzaldehyde (V) was condensed with thiocresol (VI) and formamide in refluxing toluene to give 4-fluorophenyl-tolylthiomethyl formamide (VII), which was dehydrated to isocyanide (VIII) with POCl3 and Et3N at -30 C. Finally, imine (X), (obtained from pyrimidine aldehyde (IV) and 4-(3-aminopropyl)morpholine (IX)), was condensed with isocyanide (VIII) in the presence of 1,5,7-triazabicyclo[4.4.0]dec-5-ene to furnish the title imidazole.

合成路线图解说明:

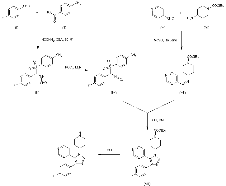
Condensation between p-fluorobenzaldehyde (I), p-toluenesulfinic acid (II) and formamide in the presence of camphorsulfonic acid afforded 4-fluorophenyltosylmethyl formamide (III). Subsequent dehydration of (III) by means of POCl3 and Et3N produced isonitrile (IV). Imine (VII) was prepared by condensation of pyridine-4-carboxaldehyde (V) with 1-Boc-4-aminopiperidine (VI) using MgSO4 as the dehydrating reagent. Dipolar cycloaddition of this imine with the anion of tosyl isonitrile (IV) generated the trisubstituted imidazole (VIII). Finally, acid cleavage of the Boc protecting group furnished the title compound.

参考文献No.480168
标题:Pyrimidinylimidazole inhibitors of CSBP/p38 kinase demonstrating decreased inhibition of hepatic cytochrome P450 enzymes
作者:Adams, J.L.; Boehm, J.C.; Kassis, S.; Gorycki, P.D.; Webb, E.F.; Hall, R.; Sorenson, M.; Lee, J.C.; Ayrton, A.; Griswold, D.E.; Gallagher, T.F.
来源:Bioorg Med Chem Lett 1998,8(22),3111
合成路线图解说明:

Condensation of pyruvic aldehyde dimethyl acetal (I) with dimethylformamide dimehylacetal provided ketoenamine (II). This was cyclized with guanidine to afford aminopyrimidine (III). Then, hydrolysis of the dimethyl acetal of (III) with 3 M HCl yielded aldehyde (IV). 4-Fluorobenzaldehyde (V) was condensed with thiocresol (VI) and formamide in refluxing toluene to give 4-fluorophenyl-tolylthiomethyl formamide (VII), which was dehydrated to isocyanide (VIII) with POCl3 and Et3N at -30 C. Finally, imine (X), (obtained from pyrimidine aldehyde (IV) and 4-(3-aminopropyl)morpholine (IX)), was condensed with isocyanide (VIII) in the presence of 1,5,7-triazabicyclo[4.4.0]dec-5-ene to furnish the title imidazole.

Drug Information Express,Drug R&D,Chemical Database,Patent Search.
Copyright © 2006-2026 Drug Future. All rights reserved.Contact Us