【药物名称】Indalpine
化学结构式(Chemical Structure):
参考文献No.701489
标题:
作者:Champseix, A.; et al.
来源:US 4064255
合成路线图解说明:

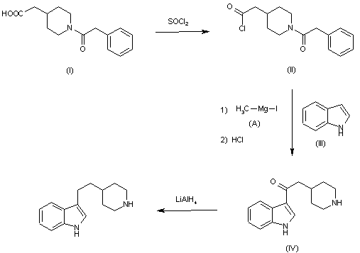
The reaction of N-carbobenzoxy-4-piperidylacetic acid (I) with refluxing SOCl2 yields the corresponding acyl chloride (II), which by condensation with indole (III) by means of methylmagnesium iodide (A) in ether gives rise to 3-indolyl-(4-piperidylmethyl)ketone (IV). Finally, this compound is reduced with LiAlH4 in THF.

参考文献No.800539
标题:Indalpine
作者:Blancafort, P.; Owen, R.T.; Casta馿r, J.; Serradell, M.N.
来源:Drugs Fut 1979,4(12),873
合成路线图解说明:

The reaction of N-carbobenzoxy-4-piperidylacetic acid (I) with refluxing SOCl2 yields the corresponding acyl chloride (II), which by condensation with indole (III) by means of methylmagnesium iodide (A) in ether gives rise to 3-indolyl-(4-piperidylmethyl)ketone (IV). Finally, this compound is reduced with LiAlH4 in THF.

Drug Information Express,Drug R&D,Chemical Database,Patent Search.
Copyright © 2006-2026 Drug Future. All rights reserved.Contact Us