【药物名称】SB-262470, NPS-2143
化学结构式(Chemical Structure):
参考文献No.53842
标题:Method of using calcilytic cpds.
作者:Sheehan, D.; Del Mar, E.G.; Lago, M.A.; Southall, L.S.; Callahan, J.F.; Kotecha, N.R.; Thompson, M.; Barmore, R.M.; Keenan, R.M.; Van Wagenen, B.C. (GlaxoSmithKline Inc.; GlaxoSmithKline plc; NPS Pharmaceuticals, Inc.)
来源:US 6022894
合成路线图解说明:

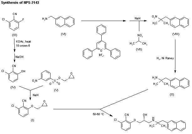
NPS-2143 can be obtained by coupling 2-chloro-6-[2(R)-oxiranylmethoxy]benzonitrile (I) with 1,1-dimethyl-2-(2-naphthyl)ethylamine (II) in ethanol at 50-60 C. Intermediates (I) and (II) can be obtained as follows: a) Treatment of 2-chloro-6-fluorobenzonitrile (III) with 18-crown-6 and potassium acetate in refluxing acetonitrile, followed by hydrolysis with NaOH in H2O provides 3-chloro-2-cyanophenol (IV), which is then condensed with 3-nitrobenzenesulfonic acid (2R)-2-oxiranylmethyl ester (V) in DMF by means of NaH to furnish 2-chloro-6-[2(R)-oxiranylmethoxy]benzonitrile (I). b) Treatment of 2-(aminomethyl)naphthalene (VI) with 2,4,6-triphenylpyrylium tetrafluoroborate in EtOH, followed by the reaction of the resulting compound dissolved in DMSO with the sodium salt obtained by treatment of 2-nitropropane (VII) with NaH in MeOH, gives the nitro derivative (VIII). Finally, reduction of the nitro group of (VIII) by hydrogenation over Ni Raney in EtOH yields 1,1,-dimethyl-2-(2-naphthyl)ethylamine (II).

参考文献No.656406
标题:NPS-2143
作者:del Fresno, M.; Doggrell, S.A.; Casta馿r, J.
来源:Drugs Fut 2002,27(2),140
合成路线图解说明:

NPS-2143 can be obtained by coupling 2-chloro-6-[2(R)-oxiranylmethoxy]benzonitrile (I) with 1,1-dimethyl-2-(2-naphthyl)ethylamine (II) in ethanol at 50-60 C. Intermediates (I) and (II) can be obtained as follows: a) Treatment of 2-chloro-6-fluorobenzonitrile (III) with 18-crown-6 and potassium acetate in refluxing acetonitrile, followed by hydrolysis with NaOH in H2O provides 3-chloro-2-cyanophenol (IV), which is then condensed with 3-nitrobenzenesulfonic acid (2R)-2-oxiranylmethyl ester (V) in DMF by means of NaH to furnish 2-chloro-6-[2(R)-oxiranylmethoxy]benzonitrile (I). b) Treatment of 2-(aminomethyl)naphthalene (VI) with 2,4,6-triphenylpyrylium tetrafluoroborate in EtOH, followed by the reaction of the resulting compound dissolved in DMSO with the sodium salt obtained by treatment of 2-nitropropane (VII) with NaH in MeOH, gives the nitro derivative (VIII). Finally, reduction of the nitro group of (VIII) by hydrogenation over Ni Raney in EtOH yields 1,1,-dimethyl-2-(2-naphthyl)ethylamine (II).

Drug Information Express,Drug R&D,Chemical Database,Patent Search.
Copyright © 2006-2026 Drug Future. All rights reserved.Contact Us