【药物名称】CT-4694
化学结构式(Chemical Structure):
参考文献No.561807
标题:4-Pyridin-5-yl-2-(3,4,5-trimethoxyphenylamino)pyrimidines: Potent and selective inhibitors of ZAP 70
作者:Moffat, D.; Davis, P.; Hutchings, M.; Davis, J.; Berg, D.; Batchelor, M.; Johnson, J.; O'Connell, J.; Martin, R.; Crabbe, T.; Delgado, J.; Perry, M.
来源:Bioorg Med Chem Lett 1999,9(23),3351
合成路线图解说明:

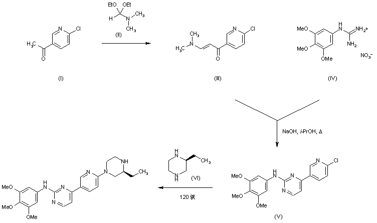
Reaction of 2-chloro-5-acetylpyridine (I) with refluxing dimethylformamide diethylacetal (II) afforded the enaminoketone (III). Subsequent condensation of (III) with 3,4,5-trimethoxyphenylguanidinium nitrate (IV) in the presence of NaOH gave rise to the pyridinyl pyrimidine (V). Finally, displacement of the halogen atom of (V) with (S)-2-ethylpiperazine (VI) yielded the title compound.

Drug Information Express,Drug R&D,Chemical Database,Patent Search.
Copyright © 2006-2026 Drug Future. All rights reserved.Contact Us