【药物名称】ORG-37476
化学结构式(Chemical Structure):
参考文献No.37651
标题:Heterocyclic derivs. and their use as antithrombotic agents
作者:Van Galen, P.J.M.; Rewinkel, J.B.M.; Van Boeckel, C.A.A. (Akzo Nobel N.V.)
来源:EP 0975600; WO 9847876
合成路线图解说明:

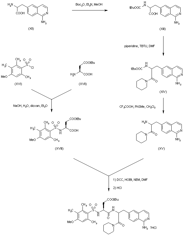
Oxidation of 6-bromoisoquinoline (I) with meta-chloroperbenzoic acid, and subsequent addition of HCl provided the quinoline N-oxide hydrochloride (II). This was treated with POCl3 at 90 C to afford 6-bromo-1-chloroisoquinoline (III). Displacement of the chlorine atom of (III) for potassium phenoxide at 140 C gave phenyl ether (IV), which was subsequently reacted with ammonium acetate at 150 C to produce aminoisoquinoline (V). After protection of (V) as the benzamide (VI) by means of benzoic anhydride and pyridine, lithium-halogen exchange, followed by quenching with DMF furnished aldehyde (VII). Reduction of (VII) with NaBH4 gave alcohol (VIII). This was converted to chloride (IX) by conversion to the corresponding mesylate and further displacement with LiCl. Alkylation of (IX) with the sodium salt of N-Boc diethyl aminomalonate (X) yielded the isoquinolylmethyl malonate (XI). Hydrolysis and decarboxylation of (XI) with HCl in aqueous AcOH generated the amino acid (XII).

合成路线图解说明:

Compound (XII) was protected as the tert-butyl carbamate (XIII) with Boc2O, and then coupled with piperidine using TBTU to give amide (XIV). The condensation of sulfonyl chloride (XVI) with L-aspartic mono tert-butyl ester (XVII) gave the N-sulfonylaspartate (XVIII). This was finally coupled with aminoamide (XV) by means of DCC and HOBt to yield the title compound.

合成路线图解说明:

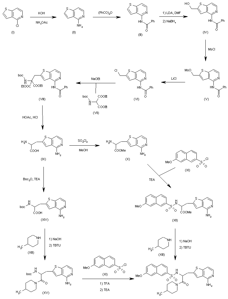
The reaction of 4-chlorothieno[3,2-c]pyridine (I) with KOH in phenol at 140 C followed by ammonium acetate at 155 C gives thieno[3,2-c]pyridine-4-amine (II), which is benzoylated with benzoyl anhydride in pyridine yielding the benzamide (III). The formylation of (III) with DMF and LDA, followed by reduction with NaBH4 in methanol/THF affords the hydroxymethyl compound (IV), which is converted into the mesylate (V) with MsCl and TEA in dichloromethane. The reaction of (V) with LiCl in THF provides the chloromethyl compound (VI), which is condensed with the protected aminomalonate (VII) by means of sodium ethoxide in ethanol/dioxane to give the adduct (VIII). The selective decarboxylation and deprotection of (VIII) with HCl in hot acetic acid yields the amino acid (IX), which is esterified with SOCl2 and methyl to the corresponding methyl ester (X). The condensation of (X) with naphthalen-2-ylsulfonyl chloride (XI) by means of TEA in dichloromethane affords the sulfonamide (XII), which is finally condensed with 4-methylpiperidine (XIII) by means of NaOH and TBTU in DMF. Alternatively, the protection of the amino acid (IX) with Boc2O and TEA in methanol gives the carbamate (XIV), which is condensed with 4-methylpiperidine (XIII) by means of NaOH and TBTU in DMF yielding the piperidide (XV). Finally, this compound is deprotected with TFA and condensed with sulfonyl chloride (XI) and TEA to afford the target compound.

合成路线图解说明:

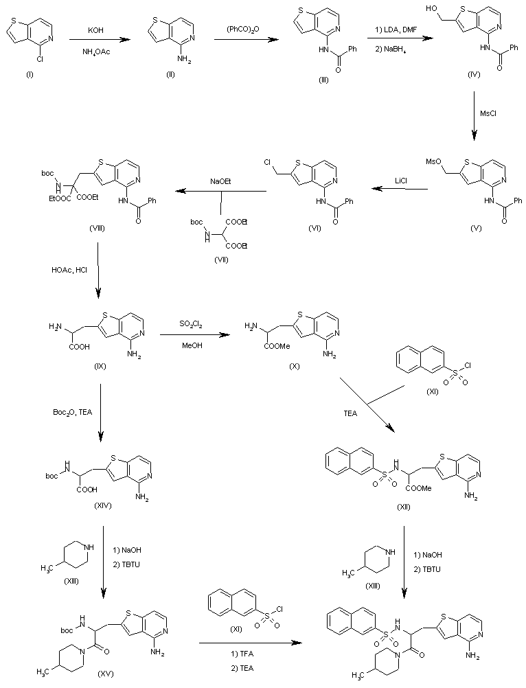
The reaction of 4-chlorothieno[3,2-c]pyridine (I) with KOH in phenol at 140 C followed by ammonium acetate at 155 C gives thieno[3,2-c]pyridine-4-amine (II), which is benzoylated with benzoyl anhydride in pyridine yielding the benzamide (III). The formylation of (III) with DMF and LDA, followed by reduction with NaBH4 in methanol/THF affords the hydroxymethyl compound (IV), which is converted into the mesylate (V) with MsCl and TEA in dichloromethane. The reaction of (V) with LiCl in THF provides the chloromethyl compound (VI), which is condensed with the protected aminomalonate (VII) by means of sodium ethoxide in ethanol/dioxane to give the adduct (VIII). The selective decarboxylation and deprotection of (VIII) with HCl in hot acetic acid yields the amino acid (IX), which is esterified with SOCl2 and methyl to the corresponding methyl ester (X). The condensation of (X) with 7-methoxynaphthalen-2-ylsulfonyl chloride (XI) by means of TEA in dichloromethane affords the sulfonamide (XII), which is finally condensed with 4-methylpiperidine (XIII) by means of NaOH and TBTU in DMF. Alternatively, the protection of the amino acid (IX) with Boc2O and TEA in methanol gives the carbamate (XIV), which is condensed with 4-methylpiperidine (XIII) by means of NaOH and TBTU in DMF yielding the piperidide (XV). Finally, this compound is deprotected with TFA and condensed with sulfonyl chloride (XI) and TEA to afford the target compound.

参考文献No.530550
标题:1-Aminoisoquinoline as benzamidine isostere in the design and synthesis of orally active thrombin inhibitors
作者:Rewinkel, J.B.; Lucas, H.; van Galen, P.J.; Noach, A.B.; van Dinther, T.G.; Rood, A.M.; Jenneboer, A.J.; van Boeckel, C.A.
来源:Bioorg Med Chem Lett 1999,9(5),685
合成路线图解说明:

Oxidation of 6-bromoisoquinoline (I) with meta-chloroperbenzoic acid, and subsequent addition of HCl provided the quinoline N-oxide hydrochloride (II). This was treated with POCl3 at 90 C to afford 6-bromo-1-chloroisoquinoline (III). Displacement of the chlorine atom of (III) for potassium phenoxide at 140 C gave phenyl ether (IV), which was subsequently reacted with ammonium acetate at 150 C to produce aminoisoquinoline (V). After protection of (V) as the benzamide (VI) by means of benzoic anhydride and pyridine, lithium-halogen exchange, followed by quenching with DMF furnished aldehyde (VII). Reduction of (VII) with NaBH4 gave alcohol (VIII). This was converted to chloride (IX) by conversion to the corresponding mesylate and further displacement with LiCl. Alkylation of (IX) with the sodium salt of N-Boc diethyl aminomalonate (X) yielded the isoquinolylmethyl malonate (XI). Hydrolysis and decarboxylation of (XI) with HCl in aqueous AcOH generated the amino acid (XII).

合成路线图解说明:

Compound (XII) was protected as the tert-butyl carbamate (XIII) with Boc2O, and then coupled with piperidine using TBTU to give amide (XIV). The condensation of sulfonyl chloride (XVI) with L-aspartic mono tert-butyl ester (XVII) gave the N-sulfonylaspartate (XVIII). This was finally coupled with aminoamide (XV) by means of DCC and HOBt to yield the title compound.

Drug Information Express,Drug R&D,Chemical Database,Patent Search.
Copyright © 2006-2026 Drug Future. All rights reserved.Contact Us