【药物名称】SL-3111
化学结构式(Chemical Structure):
参考文献No.529697
标题:De novo design, synthesis, and biological activities of high-affinity and selective non-peptide agonists of the delta-opioid receptor
作者:Liao, S.; Alfaro-Lopez, J.; Shenderovich, M.D.; Hosohata, K.; Lin, J.; Li, X.; Stropova, D.; Davis, P.; Jernigan, K.A.; Porreca, F.; Yamamura, H.I.; Hruby, V.J.
来源:J Med Chem 1998,41(24),4767
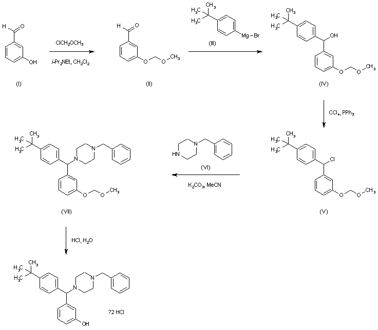
合成路线图解说明:

Protection of 3-hydroxybenzaldehyde (I) with methoxymethyl chloride afforded the corresponding methoxymethyl ether (II). Subsequent addition of 4-tert-butylphenylmagnesium bromide (III) produced the diarylcarbinol (IV), which was converted to chloride (V) by means of CCl4 and PPh3. Condensation of (V) with 1-benzylpiperazine (VI) yielded the disubstituted piperazine (VII). The methoxymethyl ether of (VII) was finally deprotected with aqueous HCl to provide the title compound.

Drug Information Express,Drug R&D,Chemical Database,Patent Search.
Copyright © 2006-2026 Drug Future. All rights reserved.Contact Us