【药物名称】
化学结构式(Chemical Structure):
参考文献No.479167
标题:2-Aminotetralin-derived substituted benzamides with mixed dopamine D2, D3, and serotonin 5-HT1A receptor binding properties: A novel class of potential atypical antipsychotic agents
作者:Homan, E.J.; Copinga, S.; Elfstr鰉, L.; van der Veen, T.; Hallema, J.-P.; Mohell, N.; Unelius, L.; Johansson, R.; Wikstr鰉, H.V.; Grol, C.J.
来源:Bioorg Med Chem 1998,6(11),2111
合成路线图解说明:

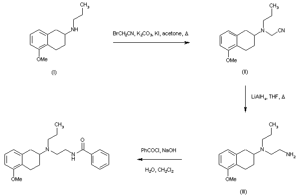
Alkylation of aminotetralin (I) with bromoacetonitrile in boiling acetone gave cyanomethyl compound (II). This was subsequently reduced to diamine (III) using LiAlH4. Condensation of (III) with benzoyl chloride under Schotten-Baumann conditions then yielded the corresponding benzamide.

Drug Information Express,Drug R&D,Chemical Database,Patent Search.
Copyright © 2006-2026 Drug Future. All rights reserved.Contact Us