【药物名称】LJP-920
化学结构式(Chemical Structure):
参考文献No.43853
标题:Conjugates comprising galactose alpha 1,3 galactosyl epitopes and methods of using same
作者:Yu, L.; Jack, R.M.; Jones, D. (La Jolla Pharmaceutical Co.)
来源:EP 1137652; WO 0034296
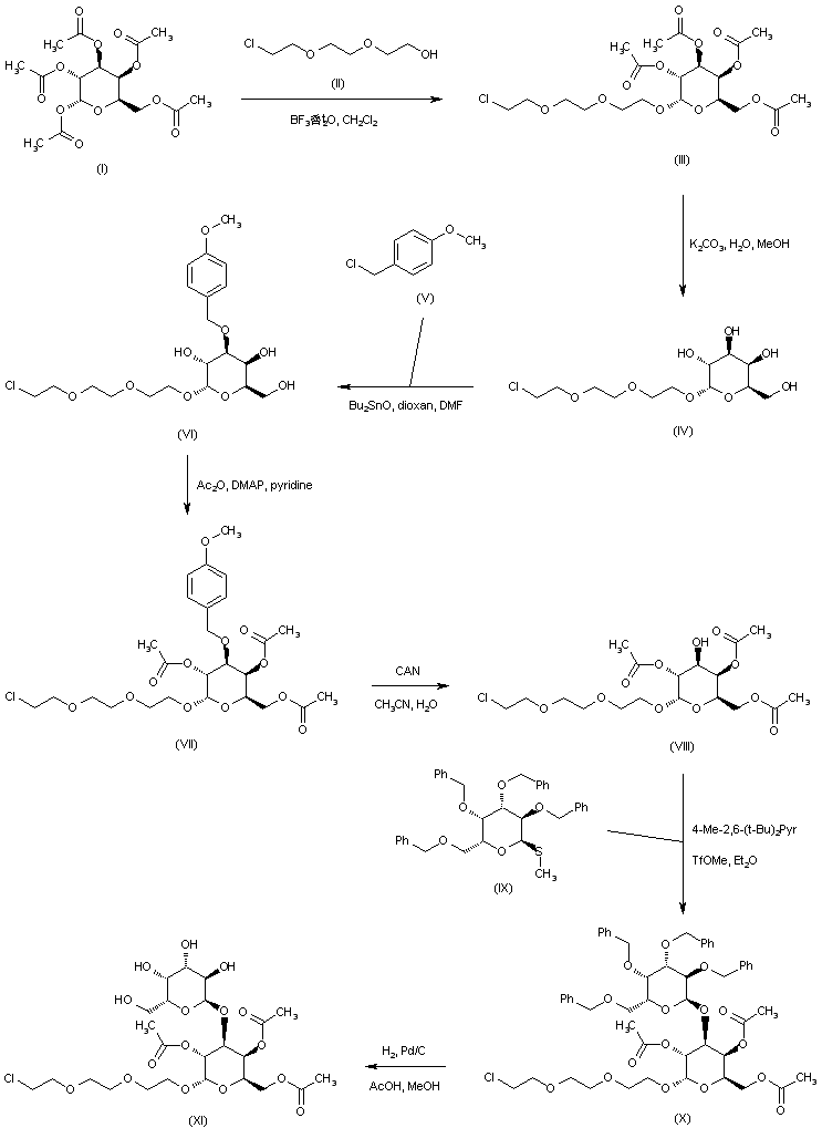
合成路线图解说明:

Condensation of galactose pentaacetate (I) with 2-[2-(2-chloroethoxy)ethoxy]ethanol (II) in the presence of boron trifluoride etherate afforded the galactopyranoside (III). Subsequent hydrolysis of the acetate esters of (III) to give (IV) was carried out employing K2CO3 in MeOH. The galactose 3-hydroxyl group of (IV) was selectively protected as the p-methoxybenzyl ether (VI) by treatment with p-methoxybenzyl chloride (V) in the presence of dibutyltin oxide. After acetylation of the remaining free hydroxyl groups of (VII) to give (VIII), oxidative cleavage of its p-methoxybenzyl ether by means of cerium ammonium nitrate afforded the 2,4,6-triacetylated pyranoside (VIII). This was condensed with the galactose thioglycoside (IX) in the presence of methyl triflate to furnish the protected disaccharide (X). The benzyl protecting groups of (X) were then removed by hydrogenolysis yielding (XI).

合成路线图解说明:

Basic hydrolysis of the acetate ester groups of (XI) provided the fully deprotected disaccharide glycoside (XII). The chloro group of (XII) was then displaced with potassium thioacetate to furnish the intermediate thioester (XIII).

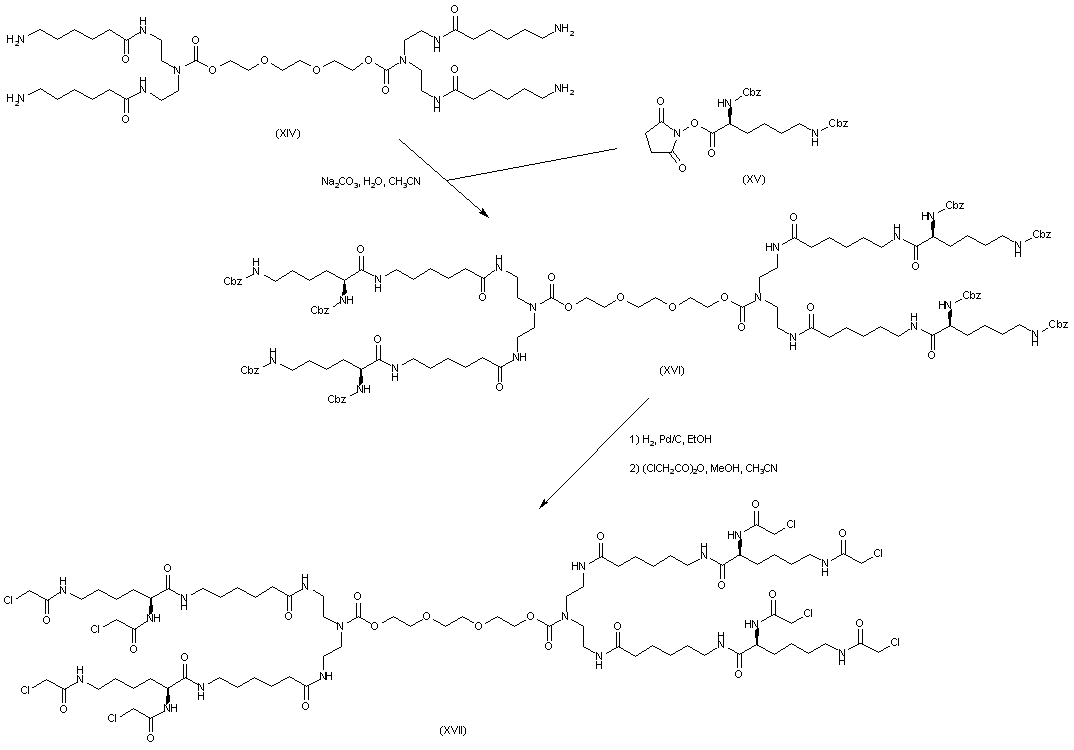
合成路线图解说明:

Coupling of the tetraamino compound (XIV) with bis(carbobenzoxy)lysine hydroxysuccinimidyl ester (XV) yielded the corresponding tetraamide (XVI). The carbobenzoxy groups of (XVI) were removed by catalytic hydrogenation over Pd/C, and the deprotected polyamino compound was then acylated with chloroacetic anhydride to afford the octa(chloroacetamide) (XVII).

合成路线图解说明:

Finally, the corresponding thiol, liberated in situ from thioacetate ester (XIII), was condensed with the octa chloro derivative (XVII) to furnish the title compound.

参考文献No.51062
标题:Methods and formulations for reducing circulating antibodies
作者:Jones, D.S.; Engle, S.B.; Yu, L.; Jack, R.M. (La Jolla Pharmaceutical Co.)
来源:WO 0033887
合成路线图解说明:

Condensation of galactose pentaacetate (I) with 2-[2-(2-chloroethoxy)ethoxy]ethanol (II) in the presence of boron trifluoride etherate afforded the galactopyranoside (III). Subsequent hydrolysis of the acetate esters of (III) to give (IV) was carried out employing K2CO3 in MeOH. The galactose 3-hydroxyl group of (IV) was selectively protected as the p-methoxybenzyl ether (VI) by treatment with p-methoxybenzyl chloride (V) in the presence of dibutyltin oxide. After acetylation of the remaining free hydroxyl groups of (VII) to give (VIII), oxidative cleavage of its p-methoxybenzyl ether by means of cerium ammonium nitrate afforded the 2,4,6-triacetylated pyranoside (VIII). This was condensed with the galactose thioglycoside (IX) in the presence of methyl triflate to furnish the protected disaccharide (X). The benzyl protecting groups of (X) were then removed by hydrogenolysis yielding (XI).

合成路线图解说明:

Basic hydrolysis of the acetate ester groups of (XI) provided the fully deprotected disaccharide glycoside (XII). The chloro group of (XII) was then displaced with potassium thioacetate to furnish the intermediate thioester (XIII).

合成路线图解说明:

Coupling of the tetraamino compound (XIV) with bis(carbobenzoxy)lysine hydroxysuccinimidyl ester (XV) yielded the corresponding tetraamide (XVI). The carbobenzoxy groups of (XVI) were removed by catalytic hydrogenation over Pd/C, and the deprotected polyamino compound was then acylated with chloroacetic anhydride to afford the octa(chloroacetamide) (XVII).

合成路线图解说明:

Finally, the corresponding thiol, liberated in situ from thioacetate ester (XIII), was condensed with the octa chloro derivative (XVII) to furnish the title compound.

Drug Information Express,Drug R&D,Chemical Database,Patent Search.
Copyright © 2006-2026 Drug Future. All rights reserved.Contact Us