【药物名称】AP-1903
化学结构式(Chemical Structure):
参考文献No.38939
标题:Synthetic derivs. of rapamycin as multimerizing agents for chimeric proteins with immunophilin-derived domains
作者:Yang, W.; Guo, T.; Keenan, T.P.; Laborde, E.; Holt, D.A. (Ariad Pharmaceuticals Inc.)
来源:JP 2000505475; WO 9731898
合成路线图解说明:

The intermediate alcohol (VIII) was prepared as shown in Scheme 27060901a: Aldol condensation of 3,4-dimethoxybenzaldehyde (I) with 3-hydroxyacetophenone (II) in the presence of KOH provided chalcone (III), which was hydrogenated over Pd/C to yield the corresponding diarylpropanone (IV). Subsequent alkylation of the phenolic hydroxyl group of (IV) with tert-butyl bromoacetate (V) using NaH in DMF gave ether (VI). Then, enantioselective reduction of ketone by means of (+)-beta-chlorodiisopinocampheylborane (VII) at -20 C furnished the (R)-alcohol (VIII).

合成路线图解说明:

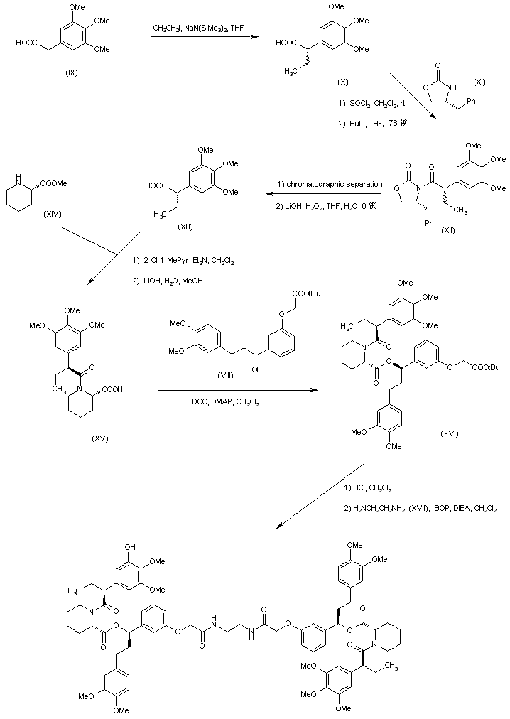
3,4,5-Trimethoxyphenylacetic acid (IX) was alkylated with ethyl iodide in the presence of two equivalents of sodium bis(trimethylsilyl)amide to afford racemic trimethoxyphenylbutyric acid (X). After conversion to the corresponding acid chloride with SOCl2, condensation with (R)-4-benzyl-2-oxazolidinone (XI) in the presence of n-butyllithium gave N-acyloxazolidinone (XII) as a diastereomeric mixture that was separated by column chromatography. The required diastereoisomer was then hydrolyzed with lithium peroxide to provide (S)-2-(3,4,5-trimethoxyphenyl)butyric acid (XIII). Subsequent coupling of (XIII) with methyl (S)-pipecolate (XIV) employing 2-chloro-1-methylpyridinium iodide, followed by ester hydrolysis with LiOH, provided amide (XV). Further DCC-promoted coupling of (XV) to alcohol (VIII) provided (XVI). After acid cleavage of the tert-butyl ester, the resulting carboxylic acid was finally coupled to etylenediamine (XVII) in the presence of 1-benzotriazolyloxy tris(dimethylamino)phosphonium hexafluorophosphate to yield the title compound.

参考文献No.529699
标题:Redesigning an FKBP-ligand interface to generate chemical dimerizers with novel specificity
作者:Clackson, T.; Yang, W.; Rozamus, L.W.; Hatada, M.; Amara, J.F.; Rollins, C.T.; Stevenson, L.F.; Magari, S.R.; Wood, S.A.; Courage, N.L.; Lu, X.; Cerasoli, F. Jr.; Gilman, M.; Holt, D.A.
来源:Proc Natl Acad Sci USA 1998,95(18),10437
合成路线图解说明:

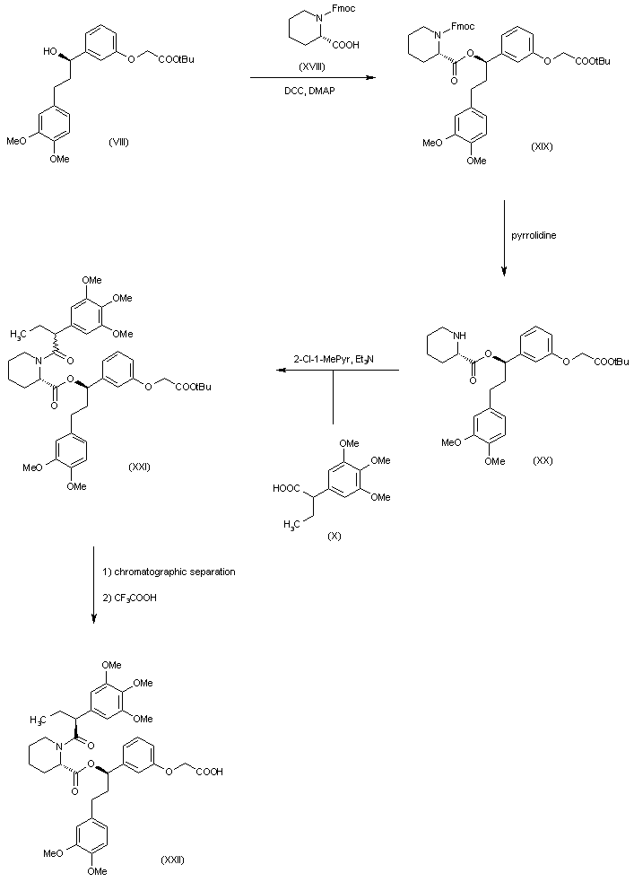
In an alternative procedure, the intermediate alcohol (VIII) was coupled with N-Fmoc-(S)-pipecolic acid (XVIII) using DCC and DMAP to give ester (XIX). Subsequent deprotection of the Fmoc group of (XIX) by means of pyrrolidine provided amine (XX). This was further coupled to racemic 2-(3,4,5-trimethoxyphenyl)butyric acid (X), and the resulting diastereomeric mixture of amides (XXI) was separated by column chromatography. Then, TFA-promoted cleavage of the tert-butyl ester from the desired (S,S)-diastereoisomer provided carboxylic acid (XXII), which was finally coupled to ethylenediamine in the same way as before.

Drug Information Express,Drug R&D,Chemical Database,Patent Search.
Copyright © 2006-2026 Drug Future. All rights reserved.Contact Us