【药物名称】OMPT, LXR-1035
化学结构式(Chemical Structure):
参考文献No.48793
标题:Compsns. containing lysophosphatidic acids which inhibit apoptosis and uses thereof
作者:Boyd, E.A.; Umansky, S.R.; Baxter, A.D.; Price, S.; Goddard, J.G.; Picker, D.H.; Wijkmans, J.C.H.M. (Evotec Biosystems AG; LXR Biotechnology Inc.)
来源:WO 9947101
合成路线图解说明:

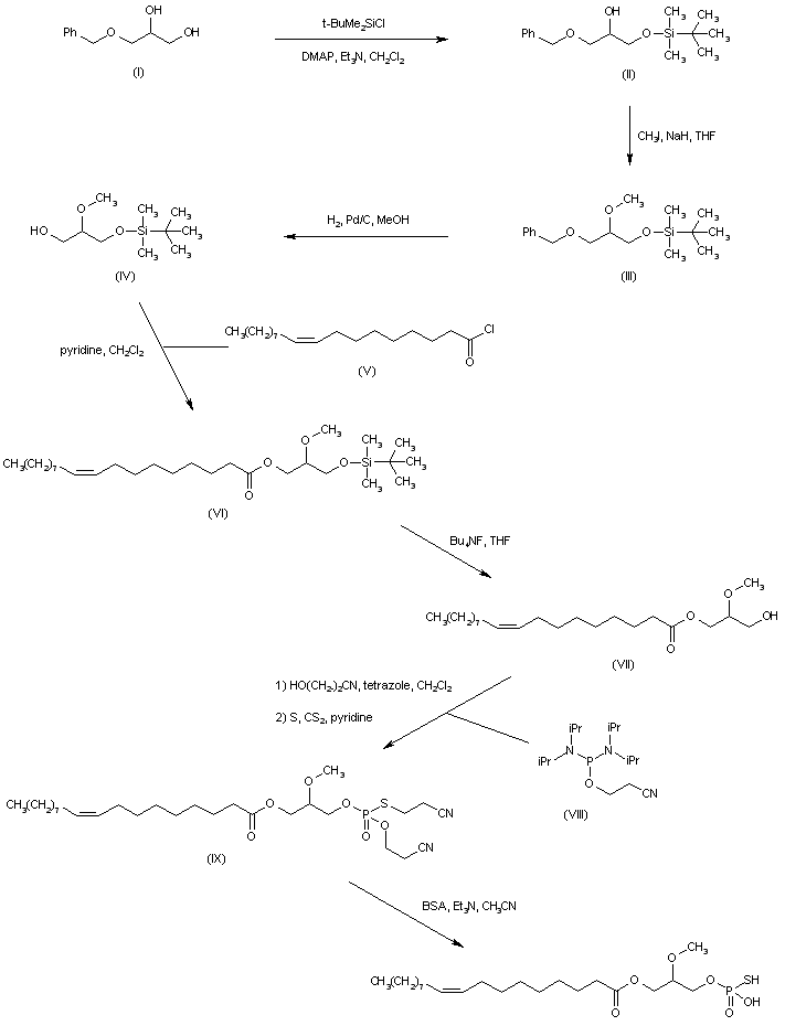
Silylation of 1-O-benzylglycerol (I) with tert-butyldimethylsilyl chloride afforded the 1,3-diprotected glycerol (II). After methylation of the free secondary hydroxyl of (II) using MeI and NaH to yield (III), its O-benzyl protecting group was cleaved by hydrogenolysis, yielding (IV). Acylation of alcohol (IV) with oleoyl chloride (V) in the presence of pyridine provided the corresponding ester (VI). Desilylation of (VI) to give alcohol (VII) was carried out by treatment with tetrabutylammonium fluoride. Alcohol (VII) was then condensed with (2-cyanoethyl)-N,N,N',N'-tetraisopropylphosphorodiamidite (VIII) in the presence of 3-hydroxypropionitrile and tetrazole, followed by reaction with elemental sulfur to furnish the thiophosphate (IX). Finally, cleavage of the cyanoethyl ester groups with Et3N and bis(trimethylsilyl)acetamide provided the title compound.

参考文献No.48794
标题:Compsns. containing lysophosphatidic acids which inhibit apoptosis and uses thereof
作者:Vmansky, S.R.; Goddard, J.G.; Picker, D.H.; Bathurst, I.C.; Bradley, J.D.; Foehr, M.W. (LXR Biotechnology Inc.)
来源:WO 9841213
合成路线图解说明:

Silylation of 1-O-benzylglycerol (I) with tert-butyldimethylsilyl chloride afforded the 1,3-diprotected glycerol (II). After methylation of the free secondary hydroxyl of (II) using MeI and NaH to yield (III), its O-benzyl protecting group was cleaved by hydrogenolysis, yielding (IV). Acylation of alcohol (IV) with oleoyl chloride (V) in the presence of pyridine provided the corresponding ester (VI). Desilylation of (VI) to give alcohol (VII) was carried out by treatment with tetrabutylammonium fluoride. Alcohol (VII) was then condensed with (2-cyanoethyl)-N,N,N',N'-tetraisopropylphosphorodiamidite (VIII) in the presence of 3-hydroxypropionitrile and tetrazole, followed by reaction with elemental sulfur to furnish the thiophosphate (IX). Finally, cleavage of the cyanoethyl ester groups with Et3N and bis(trimethylsilyl)acetamide provided the title compound.

Drug Information Express,Drug R&D,Chemical Database,Patent Search.
Copyright © 2006-2026 Drug Future. All rights reserved.Contact Us