【药物名称】DPC-963, DMP-963
化学结构式(Chemical Structure):
参考文献No.41982
标题:4,4-Disubstd.-3,4-dihydro-2(1H)-quinazolinones useful as HIV reverse transcriptase inhibitors
作者:Corbett, J.W.; Ko, S.S. (DuPont Pharmaceuticals Co.)
来源:US 6124302; WO 9845276
合成路线图解说明:

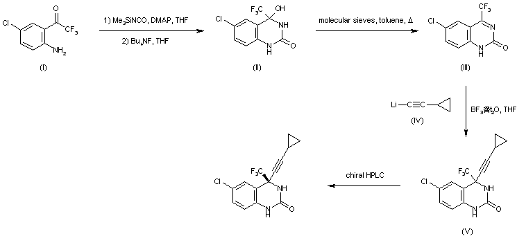
Condensation of 2'-amino-5'-chloro-2,2,2-trifluoroacetophenone (I) with trimethylsilyl isocyanate in the presence of dimethylaminopyridine, followed by desilylation with tetrabutylammonium fluoride provided the quinazoline derivative (II). Dehydration of the tertiary alcohol of (II) to afford imine (III) was carried out employing molecular sieves in refluxing toluene. Subsequent addition of lithium cyclopropylacetylide (IV) to (III) in the presence of BF3-Et2O yielded the racemic adduct (V). The desired (S)-enantiomer was finally isolated by means of chiral HPLC.

合成路线图解说明:

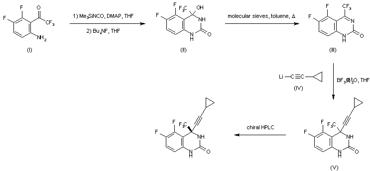
Condensation of 6'-amino-2,2,2,2',3'-pentafluoroacetophenone (I) with trimethylsilyl isocyanate in the presence of dimethylaminopyridine, followed by desilylation with tetrabutylammonium fluoride provided the quinazoline derivative (II). Dehydration of the tertiary alcohol of (II) to afford imine (III) was carried out employing molecular sieves in refluxing xylene. Subsequent addition of lithium cyclopropylacetylide (IV) to (III) in the presence of BF3-Et2O yielded the racemic adduct (V). The desired (S)-enantiomer was isolated by means of chiral HPLC.

合成路线图解说明:

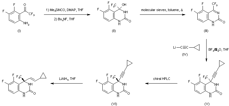
Condensation of 2'-amino-5'-chloro-2,2,2-trifluoroacetophenone (I) with trimethylsilyl isocyanate in the presence of dimethylaminopyridine, followed by desilylation with tetrabutylammonium fluoride provided the quinazoline derivative (II). Dehydration of the tertiary alcohol of (II) to afford imine (III) was carried out employing molecular sieves in refluxing toluene. Subsequent addition of lithium cyclopropylacetylide (IV) to (III) in the presence of BF3-Et2O yielded the racemic adduct (V). The desired (S)-enantiomer (VI) was then isolated by means of chiral HPLC. Finally, reduction of the triple bond of (VI) with LiAlH4 furnished the corresponding olefin.

合成路线图解说明:

DPC-083 is directly obtained by reduction of (?-6-chloro-4(S)-(2-cyclopropylethynyl)-4-(trifluoromethyl)-3,4-dihydro-1H-quinazolin-2-one (I), DPC-961, with lithium aluminum hydride in 1,2-dichlorobenzene/THF.

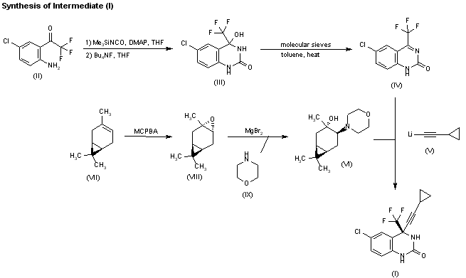
合成路线图解说明:

DPC-961 (I) can be obtained by several different related ways: 1) Condensation of 2'-amino-5'-chloro-2,2,2-trifluoroacetophenone (II) with trimethylsilyl isocyanate in the presence of dimethylaminopyridine in THF, followed by desilylation with tetrabutylammonium fluoride in THF, provides the quinazoline derivative (III), which is dehydrated employing molecular sieves in refluxing toluene to yield the imine (IV). Treatment of compound (IV) with lithium cyclopropylacetylide (V) in THF in the presence of BF3.Et2O gives the racemic adduct (VI). Finally, the desired (S)-enantiomer (I) is isolated by means of chiral HPLC . 2) Condensation of 6-chloro-4-(trifluoromethyl)quinazolin-2(1H)-one (IV) with lithium cyclopropylacetylide (V) catalyzed by the chiral auxiliary (X) in toluene/THF gives directly DPC-961. The chiral auxiliary (X) can be synthesized as follows: Epoxidation of (+)-3-carene (VII) with MCPBA in dichloromethane gives the corresponding epoxide (VIII), which is then condensed with morpholine (IX) by means of MgBr2 as catalyst.

合成路线图解说明:

Condensation of 6'-amino-2,2,2,2',3'-pentafluoroacetophenone (I) with trimethylsilyl isocyanate in the presence of dimethylaminopyridine, followed by desilylation with tetrabutylammonium fluoride provided the quinazoline derivative (II). Dehydration of the tertiary alcohol of (II) to afford imine (III) was carried out employing molecular sieves in refluxing xylene. Subsequent addition of lithium cyclopropylacetylide (IV) to (III) in the presence of BF3-Et2O yielded the racemic adduct (V). The desired (S)-enantiomer (VI) was then isolated by means of chiral HPLC. Finally, reduction of the triple bond of (VI) with LiAlH4 furnished the corresponding olefin.

参考文献No.51429
标题:Asymmetric synthesis of quinazolin-2-ones useful as HIV reverse transcriptase inhibitors
作者:Kauffman, G.S.; Dorow, R.L.; Davulcu, A.H.; Radesca, L.A.; Harris, G.D.; Fortunak, J.M.; Parsons, R.L.; Nugent, W.A. (DuPont Pharmaceuticals Co.)
来源:WO 0170707
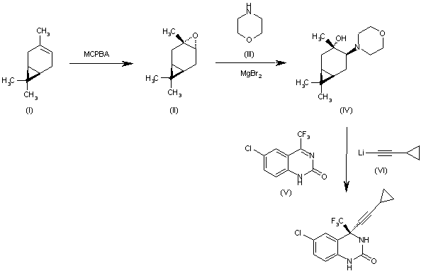
合成路线图解说明:

The condensation of 6-chloro-4-(trifluoromethyl)quinazolin-2(1H)-one (V) with lithium cyclopropylacetylene (VI) (LiHMDS is used as strong base) catalyzed by the chiral moderator (IV) in toluene/THF gives the target compound. The chiral moderator (IV) has been obtained as follows: The epoxidation of (+)-3-carene (I) with MCPBA in dichloromethane gives the corresponding epoxide (II), which is then condensed with morpholine (III) by means of MgBr2 as catalyst.

合成路线图解说明:

The condensation of 5,6-difluoro-4-(trifluoromethyl)quinazolin-2(1H)-one (V) with lithium cyclopropylacetylene (VI) (LiHMDS is used as strong base) catalyzed by the chiral moderator (IV) in toluene/THF gives the target compound with an enantiomeric excess of 94%, which increases up to 99.6% after working up (crystallization in heptane). The chiral moderator (IV) has been obtained as follows: The epoxidation of (+)-3-carene (I) with MCPBA in dichloromethane gives the corresponding epoxide (II), which is then condensed with morpholine (III) using MgBr as a catalyst.

合成路线图解说明:

DPC-961 (I) can be obtained by several different related ways: 1) Condensation of 2'-amino-5'-chloro-2,2,2-trifluoroacetophenone (II) with trimethylsilyl isocyanate in the presence of dimethylaminopyridine in THF, followed by desilylation with tetrabutylammonium fluoride in THF, provides the quinazoline derivative (III), which is dehydrated employing molecular sieves in refluxing toluene to yield the imine (IV). Treatment of compound (IV) with lithium cyclopropylacetylide (V) in THF in the presence of BF3.Et2O gives the racemic adduct (VI). Finally, the desired (S)-enantiomer (I) is isolated by means of chiral HPLC . 2) Condensation of 6-chloro-4-(trifluoromethyl)quinazolin-2(1H)-one (IV) with lithium cyclopropylacetylide (V) catalyzed by the chiral auxiliary (X) in toluene/THF gives directly DPC-961. The chiral auxiliary (X) can be synthesized as follows: Epoxidation of (+)-3-carene (VII) with MCPBA in dichloromethane gives the corresponding epoxide (VIII), which is then condensed with morpholine (IX) by means of MgBr2 as catalyst.

参考文献No.561823
标题:Expanded-spectrum nonnucleoside reverse transcriptase inhibitors inhibit clinically relevant mutant variants of human immunodeficiency virus type 1
作者:Corbett, J.W.; Koo, S.S.; Rodgers, J.D.; Jeffrey, S.; Bacheler, L.T.; Klabe, R.M.; Diamond, S.; Lai, C.M.; Rabel, S.R.; Saye, J.A.; Adams, S.P.; Trainor, G.L.; Anderson, P.S.; Erickson-Viitanen, S,K.
来源:Antimicrob Agents Chemother 1999,43(12),2893
合成路线图解说明:

Condensation of 2'-amino-5'-chloro-2,2,2-trifluoroacetophenone (I) with trimethylsilyl isocyanate in the presence of dimethylaminopyridine, followed by desilylation with tetrabutylammonium fluoride provided the quinazoline derivative (II). Dehydration of the tertiary alcohol of (II) to afford imine (III) was carried out employing molecular sieves in refluxing toluene. Subsequent addition of lithium cyclopropylacetylide (IV) to (III) in the presence of BF3-Et2O yielded the racemic adduct (V). The desired (S)-enantiomer was finally isolated by means of chiral HPLC.

合成路线图解说明:

Condensation of 6'-amino-2,2,2,2',3'-pentafluoroacetophenone (I) with trimethylsilyl isocyanate in the presence of dimethylaminopyridine, followed by desilylation with tetrabutylammonium fluoride provided the quinazoline derivative (II). Dehydration of the tertiary alcohol of (II) to afford imine (III) was carried out employing molecular sieves in refluxing xylene. Subsequent addition of lithium cyclopropylacetylide (IV) to (III) in the presence of BF3-Et2O yielded the racemic adduct (V). The desired (S)-enantiomer was isolated by means of chiral HPLC.

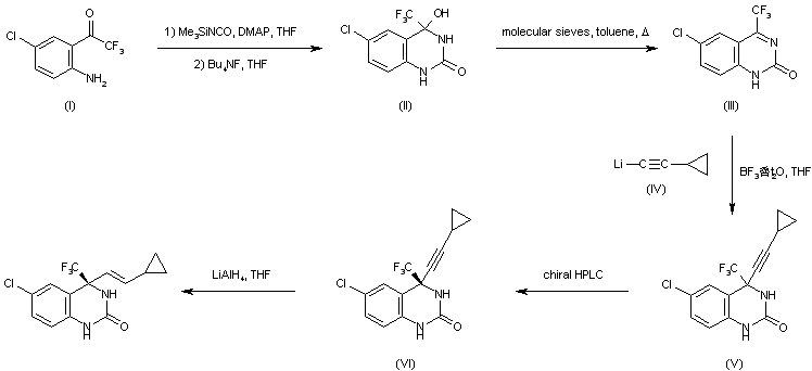
合成路线图解说明:

Condensation of 2'-amino-5'-chloro-2,2,2-trifluoroacetophenone (I) with trimethylsilyl isocyanate in the presence of dimethylaminopyridine, followed by desilylation with tetrabutylammonium fluoride provided the quinazoline derivative (II). Dehydration of the tertiary alcohol of (II) to afford imine (III) was carried out employing molecular sieves in refluxing toluene. Subsequent addition of lithium cyclopropylacetylide (IV) to (III) in the presence of BF3-Et2O yielded the racemic adduct (V). The desired (S)-enantiomer (VI) was then isolated by means of chiral HPLC. Finally, reduction of the triple bond of (VI) with LiAlH4 furnished the corresponding olefin.

合成路线图解说明:

DPC-083 is directly obtained by reduction of (?-6-chloro-4(S)-(2-cyclopropylethynyl)-4-(trifluoromethyl)-3,4-dihydro-1H-quinazolin-2-one (I), DPC-961, with lithium aluminum hydride in 1,2-dichlorobenzene/THF.

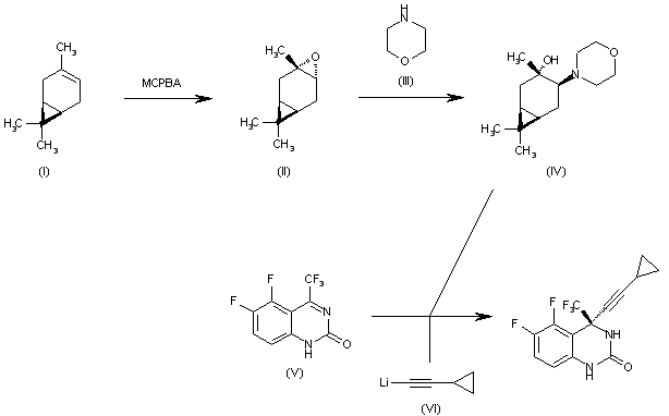
合成路线图解说明:

DPC-961 (I) can be obtained by several different related ways: 1) Condensation of 2'-amino-5'-chloro-2,2,2-trifluoroacetophenone (II) with trimethylsilyl isocyanate in the presence of dimethylaminopyridine in THF, followed by desilylation with tetrabutylammonium fluoride in THF, provides the quinazoline derivative (III), which is dehydrated employing molecular sieves in refluxing toluene to yield the imine (IV). Treatment of compound (IV) with lithium cyclopropylacetylide (V) in THF in the presence of BF3.Et2O gives the racemic adduct (VI). Finally, the desired (S)-enantiomer (I) is isolated by means of chiral HPLC . 2) Condensation of 6-chloro-4-(trifluoromethyl)quinazolin-2(1H)-one (IV) with lithium cyclopropylacetylide (V) catalyzed by the chiral auxiliary (X) in toluene/THF gives directly DPC-961. The chiral auxiliary (X) can be synthesized as follows: Epoxidation of (+)-3-carene (VII) with MCPBA in dichloromethane gives the corresponding epoxide (VIII), which is then condensed with morpholine (IX) by means of MgBr2 as catalyst.

合成路线图解说明:

Condensation of 6'-amino-2,2,2,2',3'-pentafluoroacetophenone (I) with trimethylsilyl isocyanate in the presence of dimethylaminopyridine, followed by desilylation with tetrabutylammonium fluoride provided the quinazoline derivative (II). Dehydration of the tertiary alcohol of (II) to afford imine (III) was carried out employing molecular sieves in refluxing xylene. Subsequent addition of lithium cyclopropylacetylide (IV) to (III) in the presence of BF3-Et2O yielded the racemic adduct (V). The desired (S)-enantiomer (VI) was then isolated by means of chiral HPLC. Finally, reduction of the triple bond of (VI) with LiAlH4 furnished the corresponding olefin.

参考文献No.576533
标题:Inhibition of clinically relevant mutant variant of HIV-1 by quinazolinone non-nucleoside reverse transcriptase inhibitors
作者:Corbett, J.W.; Ko, S.S.; Rodgers, J.D.; Gearhart, L.A.; Magnus, N.A.; Bacheler, L.T.; Diamond, S.; Jeffrey, S.; Klabe, R.M.; Cordova, B.C.; Garber, S.; Logue, K.; Trainor, G.L.; Anderson, P.S.; Erickson-Viitanen, S.K.
来源:J Med Chem 2000,43(10),2019
合成路线图解说明:

Condensation of 2'-amino-5'-chloro-2,2,2-trifluoroacetophenone (I) with trimethylsilyl isocyanate in the presence of dimethylaminopyridine, followed by desilylation with tetrabutylammonium fluoride provided the quinazoline derivative (II). Dehydration of the tertiary alcohol of (II) to afford imine (III) was carried out employing molecular sieves in refluxing toluene. Subsequent addition of lithium cyclopropylacetylide (IV) to (III) in the presence of BF3-Et2O yielded the racemic adduct (V). The desired (S)-enantiomer was finally isolated by means of chiral HPLC.

合成路线图解说明:

Condensation of 6'-amino-2,2,2,2',3'-pentafluoroacetophenone (I) with trimethylsilyl isocyanate in the presence of dimethylaminopyridine, followed by desilylation with tetrabutylammonium fluoride provided the quinazoline derivative (II). Dehydration of the tertiary alcohol of (II) to afford imine (III) was carried out employing molecular sieves in refluxing xylene. Subsequent addition of lithium cyclopropylacetylide (IV) to (III) in the presence of BF3-Et2O yielded the racemic adduct (V). The desired (S)-enantiomer was isolated by means of chiral HPLC.

合成路线图解说明:

Condensation of 2'-amino-5'-chloro-2,2,2-trifluoroacetophenone (I) with trimethylsilyl isocyanate in the presence of dimethylaminopyridine, followed by desilylation with tetrabutylammonium fluoride provided the quinazoline derivative (II). Dehydration of the tertiary alcohol of (II) to afford imine (III) was carried out employing molecular sieves in refluxing toluene. Subsequent addition of lithium cyclopropylacetylide (IV) to (III) in the presence of BF3-Et2O yielded the racemic adduct (V). The desired (S)-enantiomer (VI) was then isolated by means of chiral HPLC. Finally, reduction of the triple bond of (VI) with LiAlH4 furnished the corresponding olefin.

合成路线图解说明:

DPC-083 is directly obtained by reduction of (?-6-chloro-4(S)-(2-cyclopropylethynyl)-4-(trifluoromethyl)-3,4-dihydro-1H-quinazolin-2-one (I), DPC-961, with lithium aluminum hydride in 1,2-dichlorobenzene/THF.

合成路线图解说明:

DPC-961 (I) can be obtained by several different related ways: 1) Condensation of 2'-amino-5'-chloro-2,2,2-trifluoroacetophenone (II) with trimethylsilyl isocyanate in the presence of dimethylaminopyridine in THF, followed by desilylation with tetrabutylammonium fluoride in THF, provides the quinazoline derivative (III), which is dehydrated employing molecular sieves in refluxing toluene to yield the imine (IV). Treatment of compound (IV) with lithium cyclopropylacetylide (V) in THF in the presence of BF3.Et2O gives the racemic adduct (VI). Finally, the desired (S)-enantiomer (I) is isolated by means of chiral HPLC . 2) Condensation of 6-chloro-4-(trifluoromethyl)quinazolin-2(1H)-one (IV) with lithium cyclopropylacetylide (V) catalyzed by the chiral auxiliary (X) in toluene/THF gives directly DPC-961. The chiral auxiliary (X) can be synthesized as follows: Epoxidation of (+)-3-carene (VII) with MCPBA in dichloromethane gives the corresponding epoxide (VIII), which is then condensed with morpholine (IX) by means of MgBr2 as catalyst.

合成路线图解说明:

Condensation of 6'-amino-2,2,2,2',3'-pentafluoroacetophenone (I) with trimethylsilyl isocyanate in the presence of dimethylaminopyridine, followed by desilylation with tetrabutylammonium fluoride provided the quinazoline derivative (II). Dehydration of the tertiary alcohol of (II) to afford imine (III) was carried out employing molecular sieves in refluxing xylene. Subsequent addition of lithium cyclopropylacetylide (IV) to (III) in the presence of BF3-Et2O yielded the racemic adduct (V). The desired (S)-enantiomer (VI) was then isolated by means of chiral HPLC. Finally, reduction of the triple bond of (VI) with LiAlH4 furnished the corresponding olefin.

参考文献No.595117
标题:An efficient chiral moderator prepared for inexpensive (+)-3-carene: Synthesis of the HIV-1 non-nucleoside reverse transcriptase inhibitor DPC 963
作者:Kauffman, G.S.; Harris, G.D.; Dorow, R.L.; Stone, B.R.; Parsons, R.L. Jr.; Pesti, J.A.; Magnus, N.A.; Fortunak, J.M.; Confalone, P.N.; Nugent, W.A.
来源:Org Lett 2000,2(20),3119
合成路线图解说明:

The condensation of 5,6-difluoro-4-(trifluoromethyl)quinazolin-2(1H)-one (V) with lithium cyclopropylacetylene (VI) (LiHMDS is used as strong base) catalyzed by the chiral moderator (IV) in toluene/THF gives the target compound with an enantiomeric excess of 94%, which increases up to 99.6% after working up (crystallization in heptane). The chiral moderator (IV) has been obtained as follows: The epoxidation of (+)-3-carene (I) with MCPBA in dichloromethane gives the corresponding epoxide (II), which is then condensed with morpholine (III) using MgBr as a catalyst.

Drug Information Express,Drug R&D,Chemical Database,Patent Search.
Copyright © 2006-2026 Drug Future. All rights reserved.Contact Us