【药物名称】LY-418426
化学结构式(Chemical Structure):
参考文献No.37770
标题:Excitatory amino acid receptor modulators
作者:Massey, S.M.; Monn, J.A.; Valli, M.J. (Eli Lilly and Company)
来源:EP 0878463; US 5958960
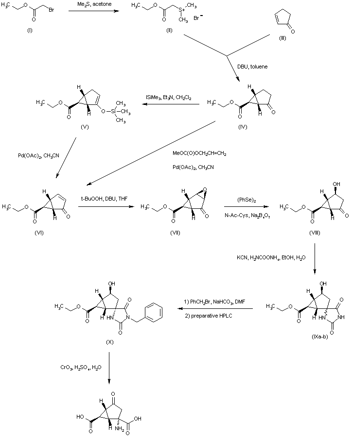
合成路线图解说明:

Condensation of ethyl bromoacetate (I) with dimethyl sulfide gave the sulfonium salt (II). Addition of the sulfur ylide resulting from (II) and DBU to cyclopentenone (III) produced the bicyclic compound (IV). This was converted into the silyl enolate (V), which was subsequently oxidized to the unsaturated ketone (VI) by means of palladium diacetate. Alternatively, (IV) was directly oxidized to (VI) using allyl methyl carbonate and palladium diacetate. Treatment of enone (VI) with tert-butyl hydroperoxide and DBU produced epoxide (VII), which was further converted into hydroxy ketone (VIII) by reaction with diphenyl diselenide in the presence of N-acetyl-cysteine and sodium borate. Bucherer-Bergs reaction of ketone (VIII) with potassium cyanide and ammonium carbamate produced a mixture of diastereomeric hydantoins (IX). After N-alkylation of the hydantoin ring of (IX) with benzyl bromide, the desired isomer (X) was isolated by preparative HPLC. Finally, alcohol oxidation, with concomitant hydantoin hydrolysis, by treatment with Jones reagent furnished the title compound.

Drug Information Express,Drug R&D,Chemical Database,Patent Search.
Copyright © 2006-2026 Drug Future. All rights reserved.Contact Us