【药物名称】
化学结构式(Chemical Structure):
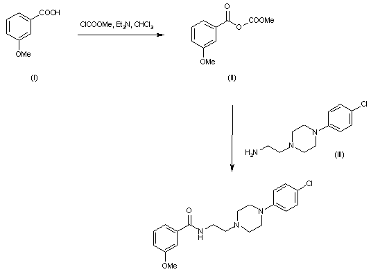
参考文献No.478976
标题:N-[2-[4-(4-Chlorophenyl)piperazin-1-yl]ethyl]-3-methoxybenzamide: A potent and selective dopamine D4 ligand
作者:Perrone, R.; Berardi, F.; Colabufo, N.A.; Leopoldo, M.; Tortorella, V.
来源:J Med Chem 1998,41(24),4903
合成路线图解说明:

Treatment of 3-methoxybenzoic acid (I) with methyl chloroformate and triethylamine produced the mixed anhydride (II), which was condensed with amine (III) to provide the title amide.

参考文献No.563825
标题:A structure-affinity relationship study on derivatives of N-[2-[4-(chlorophenyl)piperazin-1-yl]ethyl]-3-methoxybenzamide, a high-affinity and selective D4 receptor ligand
作者:Perrone, R.; Berardi, F.; Colabufo, N.A.; Leopoldo, M.; Tortorella, V.
来源:J Med Chem 2000,43(2),270
合成路线图解说明:

The condensation of 1-(4-chlorophenyl)piperazine (I) with 2-chloroacetonitrile (II) gives 2-[4-(4-chlorophenyl)-1-piperazinyl]acetonitrile (III), which is reduced with borane/dimethylsulfide yielding the corresponding primary amine (IV). Finally, (IV) is condensed with 3-methoxybenzoyl chloride.

Drug Information Express,Drug R&D,Chemical Database,Patent Search.
Copyright © 2006-2026 Drug Future. All rights reserved.Contact Us