【药物名称】
化学结构式(Chemical Structure):
参考文献No.478968
标题:Selective tight binding inhibitors of trypanosomal glyceraldehyde-3-phosphate dehydrogenase via structure-based drug design
作者:Aronov, A.M.; Verlinde, C.L.; Hol, W.G.; Gelb, M.H.
来源:J Med Chem 1998,41(24),4790
合成路线图解说明:

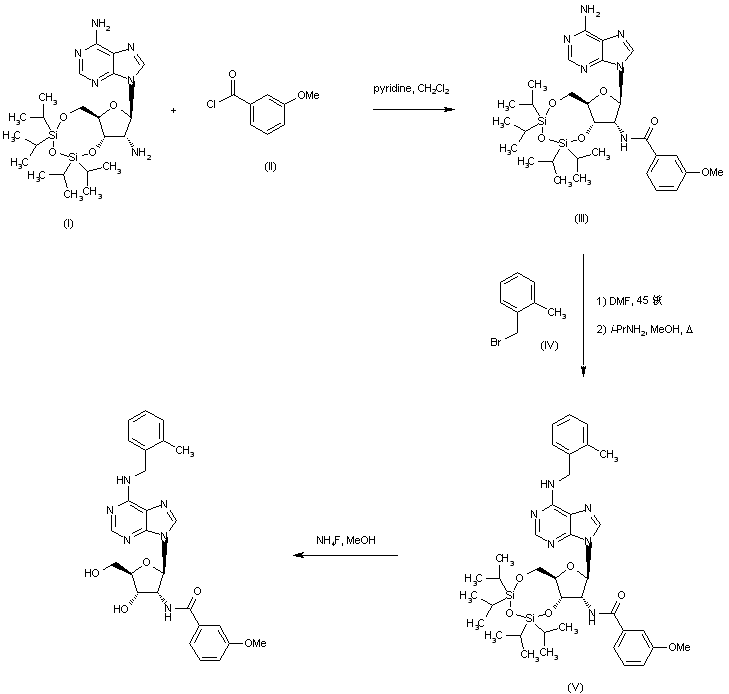
The silyl-protected 2'-amino-2'-deoxyadenosine (I) was acylated with 3-methoxybenzoyl chloride (II) to give the corresponding amide (III). Alkylation of (III) at N1 with 2-methylbenzyl bromide (IV), with subsequent Dimroth rearrangement using isopropyl amine in MeOH provided the N6-(2-methylbenzyl)adenosine derivative (V). Finally, fluoride-promoted desilylation of (V) in MeOH furnished the title compound.

Drug Information Express,Drug R&D,Chemical Database,Patent Search.
Copyright © 2006-2026 Drug Future. All rights reserved.Contact Us