【药物名称】SL-11047
化学结构式(Chemical Structure):
参考文献No.47440
标题:Conformationally restricted polyamines
作者:Witiak, D.T.; Frydman, B.J.; Marton, L.J.; Reddy, V.K.; Valasinas, A.L. (Wisconsin Alumni Research Foundation)
来源:US 5889061
合成路线图解说明:

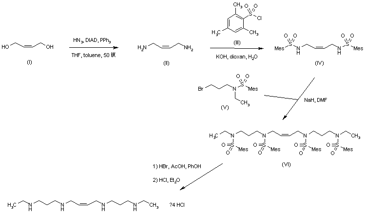
The title tetraamino derivative was prepared by two related methods. Conversion of cis-butenediol (I) into the diamine (II) was effected by Mitsunobu condensation of (I) with HN3 with concomitant reduction of the azido group in the presence of PPh3. Acylation of (II) with mesitylenesulfonyl chloride (III) provided the bis-sulfonamide (IV), which was subsequently alkylated with the bromosulfonamide (V) in the presence of NaH to furnish the protected tetraamine (VI). The sulfonamido groups of (VI) were finally hydrolyzed by an HOAc solution of HBr in the presence of phenol.

合成路线图解说明:

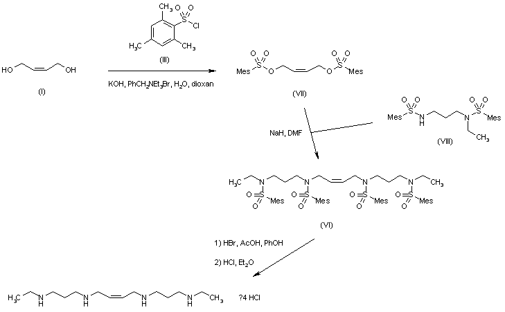
Alternatively, diol (I) was converted to the bis-sulfonate ester (VII) under phase-transfer conditions. Alkylation of the sodium salt of N-ethyl-1,3-propanediamine disulfonamide (VIII) with the bis-mesytilate (VII) produced (VI), which was then deprotected as above.

参考文献No.47441
标题:Conformationally restricted polyamines and their use as antineoplastic agents
作者:Witiak, D.T.; Frydman, B.J.; Marton, L.J.; Reddy, V.K.; Valasinas, A.L. (Wisconsin Alumni Research Foundation)
来源:JP 2002508739; WO 9817624
合成路线图解说明:

The title tetraamino derivative was prepared by two related methods. Conversion of cis-butenediol (I) into the diamine (II) was effected by Mitsunobu condensation of (I) with HN3 with concomitant reduction of the azido group in the presence of PPh3. Acylation of (II) with mesitylenesulfonyl chloride (III) provided the bis-sulfonamide (IV), which was subsequently alkylated with the bromosulfonamide (V) in the presence of NaH to furnish the protected tetraamine (VI). The sulfonamido groups of (VI) were finally hydrolyzed by an HOAc solution of HBr in the presence of phenol.

合成路线图解说明:

Alternatively, diol (I) was converted to the bis-sulfonate ester (VII) under phase-transfer conditions. Alkylation of the sodium salt of N-ethyl-1,3-propanediamine disulfonamide (VIII) with the bis-mesytilate (VII) produced (VI), which was then deprotected as above.

参考文献No.478963
标题:Conformationally restricted analogues of 1N,12N-bisethylspermine: Synthesis and growth inhibitory effects on human tumor cell lines
作者:Reddy, V.K.; Valasinas, A.; Sarkar, A.; Basu, H.S.; Marton, L.J.; Frydman, B.
来源:J Med Chem 1998,41(24),4723
合成路线图解说明:

Alternatively, diol (I) was converted to the bis-sulfonate ester (VII) under phase-transfer conditions. Alkylation of the sodium salt of N-ethyl-1,3-propanediamine disulfonamide (VIII) with the bis-mesytilate (VII) produced (VI), which was then deprotected as above.

Drug Information Express,Drug R&D,Chemical Database,Patent Search.
Copyright © 2006-2026 Drug Future. All rights reserved.Contact Us