【药物名称】
化学结构式(Chemical Structure):
参考文献No.478962
标题:Synthesis and cytotoxicity of 2-methyl-4,9-dihydro-1-substituted-1H-imidazo[4,5-g]quinoxaline-4,9-diones and 2,3-disubstituted-5,10-pyrazino[2,3-g]quinoxalinediones
作者:Yoo, H.-W.; Suh, M.-E.; Park, S.W.
来源:J Med Chem 1998,41(24),4716
合成路线图解说明:

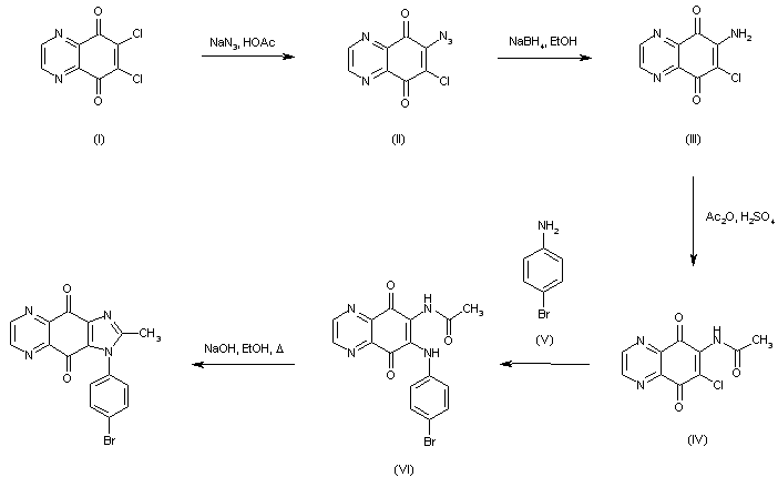
Treatment of 6,7-dichloro-5,8-quinoxalinedione (I) with sodium azide in AcOH afforded azide (II), which was reduced to amine (III) using NaBH4. Acetylation of (III) with Ac2O and a catalytic amount of H2SO4 yielded amide (IV). Subsequent reaction of (IV) with 4-bromoaniline (V) produced the corresponding (4-bromophenyl)aminoquinoxaline (VI). Finally, conversion of (VI) into the target imidazole was performed by treatment with NaOH in refluxing EtOH.

Drug Information Express,Drug R&D,Chemical Database,Patent Search.
Copyright © 2006-2026 Drug Future. All rights reserved.Contact Us