【药物名称】
化学结构式(Chemical Structure):
参考文献No.478960
标题:Synthesis, activity, and molecular modeling of new 2,4-dioxo-5-(naphthylmethylene)-3-thiazolidineacetic acids and 2-thioxo analogues as potent aldose reductase inhibitors
作者:Fresneau, P.; Cussac, M.; Morand, J.M.; Szymonski, B.; Tranqui, D.; Leclerc, G.
来源:J Med Chem 1998,41(24),4706
合成路线图解说明:

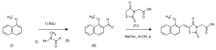
1-Methoxynaphthalene (I) was lithiated with n-butyllithium and subsequently treated with N-methylformanilide (II) to give the 2-naphthaldehyde (III). The Knoevenagel condensation of (III) with the rhodanineacetic acid (IV) in the presence of NaOAc in AcOH provided the target 5-(alkylidene)thiazolidine.

Drug Information Express,Drug R&D,Chemical Database,Patent Search.
Copyright © 2006-2026 Drug Future. All rights reserved.Contact Us