【药物名称】
化学结构式(Chemical Structure):
参考文献No.41662
标题:Seco-cholestane derivs. and methods of making the same
作者:Peng, H.; Zalkow, L.H. (Georgia Technology Research Corp.)
来源:US 6011058
合成路线图解说明:

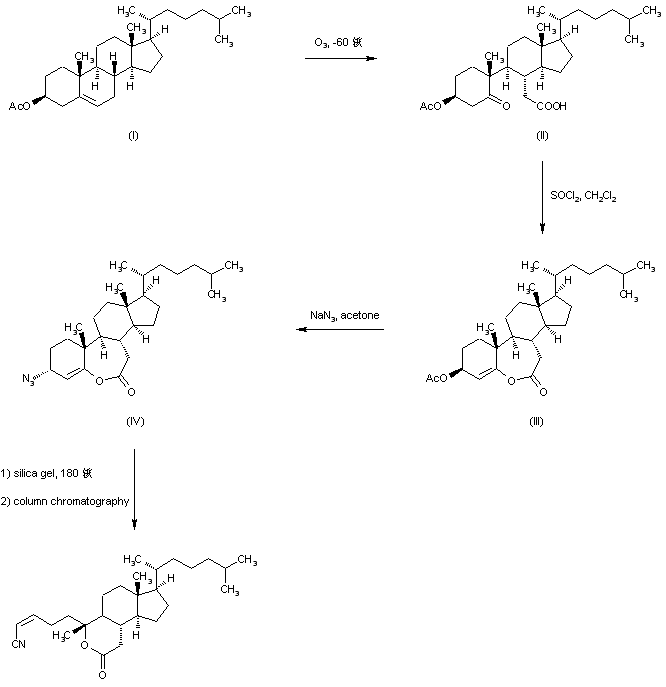
Ozonolysis of chloesteryl acetate (I) produced keto acid (II), which was converted to the B-homo-6-oxacholestenone (III) upon treatment with SOCl2. Subsequent displacement of the 3beta-acetate group of (III) by NaN3 afforded azide (IV). Pyrolysis of (IV) over silica gel at 180 C yielded a mixture of cleavage products, from which the title nitrile was isolated by column chromatography.

合成路线图解说明:

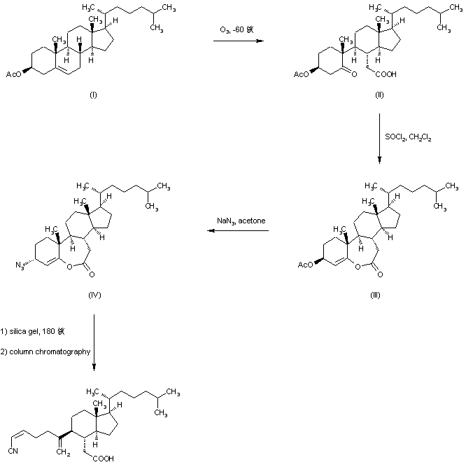
Ozonolysis of chloesteryl acetate (I) produced keto acid (II), which was converted to the B-homo-6-oxacholestenone (III) upon treatment with SOCl2. Subsequent displacement of the 3-beta-acetate group of (III) by NaN3 afforded azide (IV). Pyrolysis of (IV) over silica gel at 180 C yielded a mixture of cleavage products, from which the required nitrile (V) was isolated by column chromatography. Finally, selective hydrogenation of the conjugated double bond using Pd/C furnished the title compound.

参考文献No.478956
标题:Novel CDC25A phosphatase inhibitors from pyrolysis of 3-alpha-azido-B-homo-6-oxa-4-cholesten-7-one on silica gel
作者:Peng, H.; Zalkow, L.H.; Abraham, R.T.; Powis, G.
来源:J Med Chem 1998,41(24),4677
合成路线图解说明:

Ozonolysis of chloesteryl acetate (I) produced keto acid (II), which was converted to the B-homo-6-oxacholestenone (III) upon treatment with SOCl2. Subsequent displacement of the 3beta-acetate group of (III) by NaN3 afforded azide (IV). Pyrolysis of (IV) over silica gel at 180 C yielded a mixture of cleavage products, from which the title nitrile was isolated by column chromatography.

合成路线图解说明:

Ozonolysis of chloesteryl acetate (I) produced keto acid (II), which was converted to the B-homo-6-oxacholestenone (III) upon treatment with SOCl2. Subsequent displacement of the 3-beta-acetate group of (III) by NaN3 afforded azide (IV). Pyrolysis of (IV) over silica gel at 180 C yielded a mixture of cleavage products, from which the title nitrile was isolated by column chromatography.

合成路线图解说明:

Ozonolysis of chloesteryl acetate (I) produced keto acid (II), which was converted to the B-homo-6-oxacholestenone (III) upon treatment with SOCl2. Subsequent displacement of the 3-beta-acetate group of (III) by NaN3 afforded azide (IV). Pyrolysis of (IV) over silica gel at 180 C yielded a mixture of cleavage products, from which the required nitrile (V) was isolated by column chromatography. Finally, selective hydrogenation of the conjugated double bond using Pd/C furnished the title compound.

Drug Information Express,Drug R&D,Chemical Database,Patent Search.
Copyright © 2006-2026 Drug Future. All rights reserved.Contact Us