【药物名称】KW-7158
化学结构式(Chemical Structure):
参考文献No.55653
标题:Preparation method of tricyclic cpds.
作者:Mimura, T.; Ogasa, T.; Mori, S.; Matsushita, T.; Imai, E. (Kyowa Hakko Kogyo Co., Ltd.)
来源:JP 2002053580
合成路线图解说明:

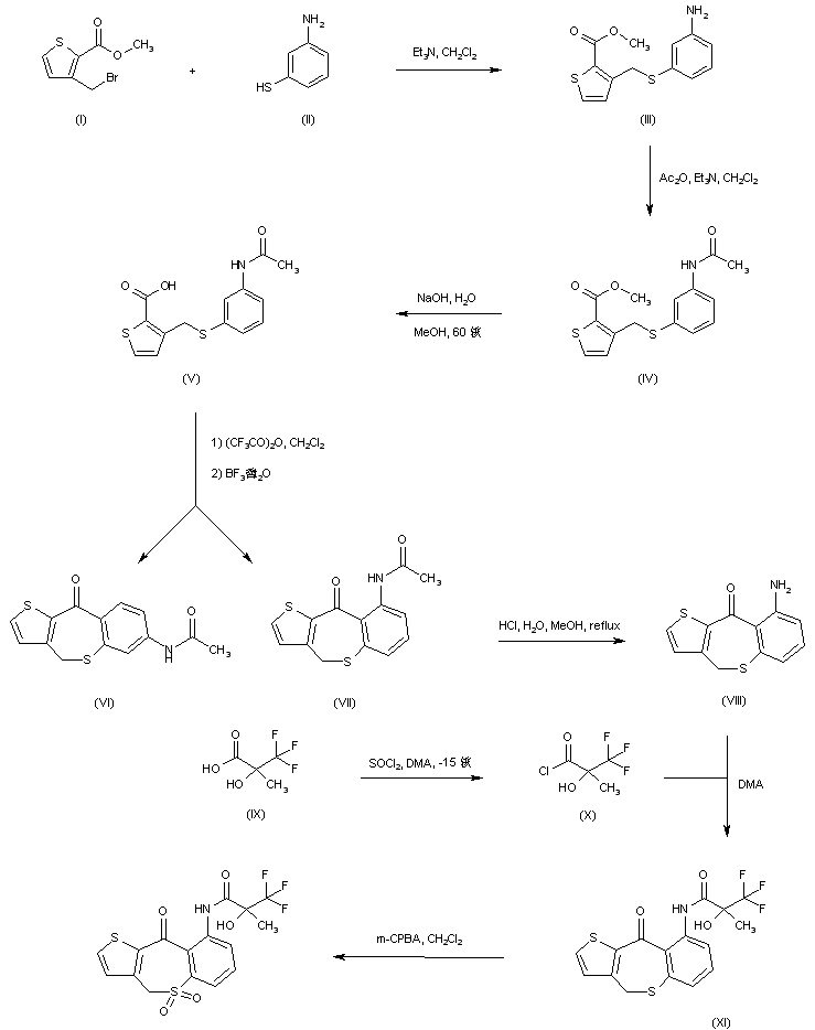
Alkylation of 3-aminothiophenol (II) with methyl 3-(bromomethyl)thiophene-2-carboxylate (I) provides thioether (III). After protection of the amino group of (III) as the corresponding acetamide (IV), its methyl ester group is hydrolyzed under alkaline conditions, to provide the carboxylic acid (V). Activation of acid (V) with trifluoroacetic anhydride, followed by cyclization in the presence of boron trifluoride etherate gives rise to a mixture of regioisomeric thienobenzothiepinones (VI) and (VII), which are separated by column chromatography. Acidic hydrolysis of the desired isomer (VII) provides amine (VIII). Acid chloride (X), prepared by chlorination of 3,3,3-trifluoro-2-hydroxy-2-methylpropanoic acid (IX), is then condensed with amine (VIII) to furnish amide (XI). Finally, oxidation of the sulfide group of (XI) to the title sulfone is accomplished by treatment with m-chloroperbenzoic acid

Drug Information Express,Drug R&D,Chemical Database,Patent Search.
Copyright © 2006-2026 Drug Future. All rights reserved.Contact Us