【药物名称】SB-201076
化学结构式(Chemical Structure):
参考文献No.469553
标题:ATP-citrate lyase as a target for hypolipidemic intervention. 2. Synthesis and evaluation of (3R*,5S*)-omega-substituted-3-carboxy-3,5-dihydroxyalkanoic acids and their gamma-lactone prodrugs as inhibitors of the enzyme in vitro and in vivo
作者:Gribble, A.D.; Ife, R.J.; Shaw, A.; McNair, D.; Novelli, C.E.; Bakewell, S.; Shah, V.P.; Dolle, R.E.; Groot, P.H.; Pearce, N.; Yates, J.; Tew, D.; Boyd, H.; Ashman, S.; Eggleston, D.S.; Haltiwanger, R.C.; Okafo, G.
来源:J Med Chem 1998,41(19),3582
合成路线图解说明:

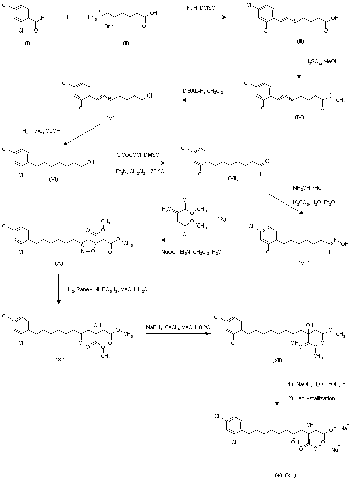
1) Wittig reaction of 2,4-dichlorobenzaldehyde (I) with phosphonium bromide (II) using NaH in DMSO provided 7-(2,4-dichlorophenyl)-6-heptenoic acid (III) as a mixture of E and Z isomers. Esterification of (III) with MeOH in the presence of H2SO4 afforded ester (IV), which was reduced with DIBAL-H to afford alcohol (V). Subsequent hydrogenation of (V) over Pd/C gave 7-(2,4-dichlorophenyl)-1-heptanol (VI) and further Swern oxidation yielded the corresponding aldehyde (VII). Oxime (VIII) was then prepared by reaction of (VII) with hydroxylamine. Treatment of (VIII) with NaOCl and Et3N generated an intermediate nitrile oxide which, in the presence of dimethyl itaconate (IX), experienced a [3+2] cycloaddition to afford the isoxazole (X). Reductive opening of this heterocycle by hydrogenation in the presence of Raney Nickel and boric acid produced hydroxyketone (XI), and further reduction of (XI) using NaBH4 and CeCl3 in MeOH yielded the dihydroxyester (XII) as a mixture of diastereoisomers. Saponification of (XII) with NaOH, followed by recrystallization of the resulting disodium salt, then furnished the racemic (3R*,5S*)-diasteroisomer (XIII), which was finally cyclized with HCl in aqueous THF to the target lactone.

合成路线图解说明:

2) In an alternative method, epsilon-caprolactone (XIV) was reduced to lactol (XV) with DIBAL-H and then converted into oxime (XVI). In situ generation of the corresponding nitrile oxide, using NaOCl and Et3N, and subsequent cycloaddition with dimethyl itaconate (IX) afforded the isoxazole (XVII). Swern oxidation of (XVII) generated aldehyde (XVIII), which was condensed with the phosphonium salt (XIX) to give olefin (XX). Hydrogenation of (XX) in the presence of Raney Nickel and boric acid yielded unsaturated ketone (XXI), which by further hydrogenation of using PtO2 gave the previously described hydroxyketone (XI). Reduction of (XI) with sodium triacetoxyborohydride in AcOH gave the same mixture of diastereomeric dihydroxyesters (XII) already described, which was converted into the target compound by hydrolysis, recrystallization and subsequent acid cyclization as already descibed.

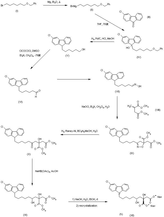
合成路线图解说明:

The Grignard reagent (II), prepared from 6-(benzyloxy)hexyl bromide (I), was condensed with 3-chlorofluoren-9-one (III) to give the carbinol (IV). Hydrogenolysis of (IV) over Pd/C gave fluorenylhexanol (V), which was oxidized to the corresponding aldehyde (VI) under Swern conditions using oxalyl chloride and DMSO. Oxime (VII) was then prepared by reaction of (VI) with hydroxylamine. Treatment of (VII) with NaOCl and Et3N generated an intermediate nitrile oxide which, in the presence of dimethyl itaconate (VIII), experienced a [3+2] cycloaddition to afford the isoxazole (IX). Reductive opening of this heterocycle by hydrogenation in the presence of Raney Nickel and boric acid produced the hydroxyketone (X), and further reduction of (X) using NaHB(OAc)3 in AcOH yielded dihydroxyester (XI) as a mixture of diastereoisomers. Saponification with NaOH, followed by recrystallization of the resulting disodium salt, then furnished the racemic mixture of (3R*,5S*,9R*)- and (3R*,5S*,9S*)-diastereoisomers (XII).

合成路线图解说明:

1) The Wittig reaction of 2,4-dichlorobenzaldehyde (I) with phosphonium bromide (II) using NaH in DMSO provided 7-(2,4-dichlorophenyl)-6-heptenoic acid (III) as a mixture of E and Z isomers. Esterification of (III) with MeOH in the presence of H2SO4 afforded (IV), which was reduced with DIBAL-H to afford alcohol (V). Subsequent hydrogenation of (V) over Pd/C gave 7-(2,4-dichlorophenyl)-1-heptanol (VI) and further Swern oxidation yielded the corresponding aldehyde (VII). Oxime (VIII) was then prepared by reaction of (VII) with hydroxylamine. Treatment with NaOCl and Et3N generated an intermediate nitrile oxide which, in the presence of dimethyl itaconate (IX), experienced a [3+2] cycloaddition to afford the isoxazole (X). Reductive opening of this heterocycle by hydrogenation in the presence of Raney Nickel and boric acid produced hydroxyketone (XI), and further reduction of (XI) using NaBH4 and CeCl3 in MeOH yielded the dihydroxy ester (XII) as a mixture of diastereoisomers. Saponification of (XII) with NaOH, followed by recrystallization of the resulting disodium salt, then furnished the racemic (3R*,5S*)-diasteroisomer (XIII).

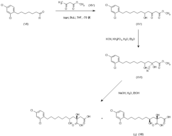
合成路线图解说明:

2) Alternatively, aldehyde (VII) was condensed with the dianion of methyl acetoacetate (XIV) to give hydroxyketone (XV), which was converted to the cyanohydrin (XVI) using KCN and KH2PO4. Basic hydrolysis of (XV) then provided a mixture of the (3R*,5S*)- (XIII) and (3R*,5R*)- (XVII) diastereoisomers.

合成路线图解说明:

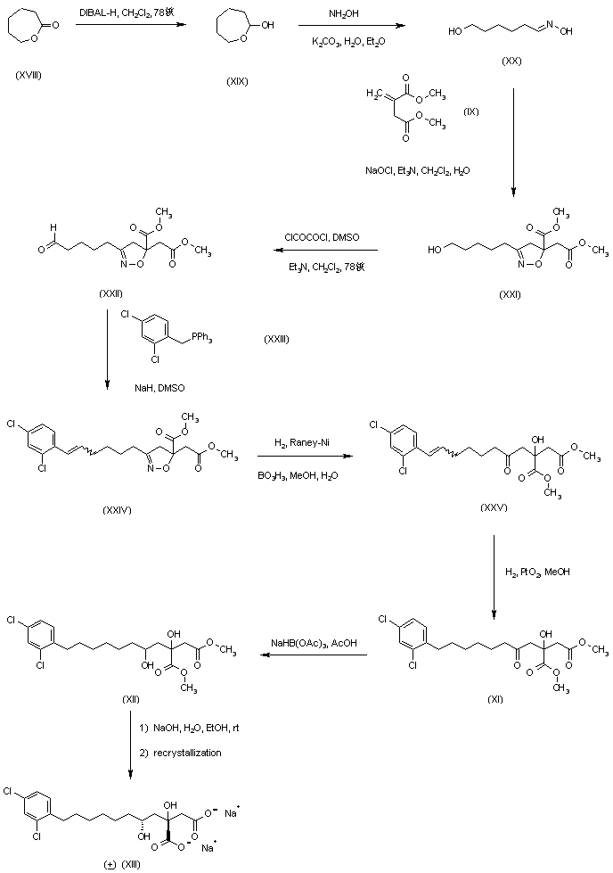
3) In a further method, epsilon-caprolactone (XVIII) was reduced to lactol (XIX) with DIBAL-H and then converted into oxime (XX). In situ generation of the corresponding nitrile oxide, using NaOCl and Et3N, and subsequent cycloaddition with dimethyl itaconate (IX) afforded the isoxazole (XXI). Swern oxidation of (XXI) generated aldehyde (XXII), which was condensed with the phosphonium salt (XXIII) to give olefin (XXIV). Hydrogenation in the presence of Raney Nickel and boric acid acid yielded unsaturated ketone (XXV), which by further hydrogenation of using PtO2 gave the previously described hydroxyketone (XI). Reduction of (XI) with sodium triacetoxyborohydride in AcOH gave the same mixture of diastereomeric dihydroxyesters (XII) already described, which was converted into the target compound by hydrolysis and subsequent, recrystallization as already described.

Drug Information Express,Drug R&D,Chemical Database,Patent Search.
Copyright © 2006-2026 Drug Future. All rights reserved.Contact Us