【药物名称】JE-2178
化学结构式(Chemical Structure):
参考文献No.37380
标题:Novel tripeptide cpds. and anti-AIDS drugs
作者:Terashima, K.; Mimoto, T.; Takaku, H.; Nojima, S.; Kiso, Y. (Japan Energy Corp.)
来源:EP 0900566; WO 9829118
合成路线图解说明:

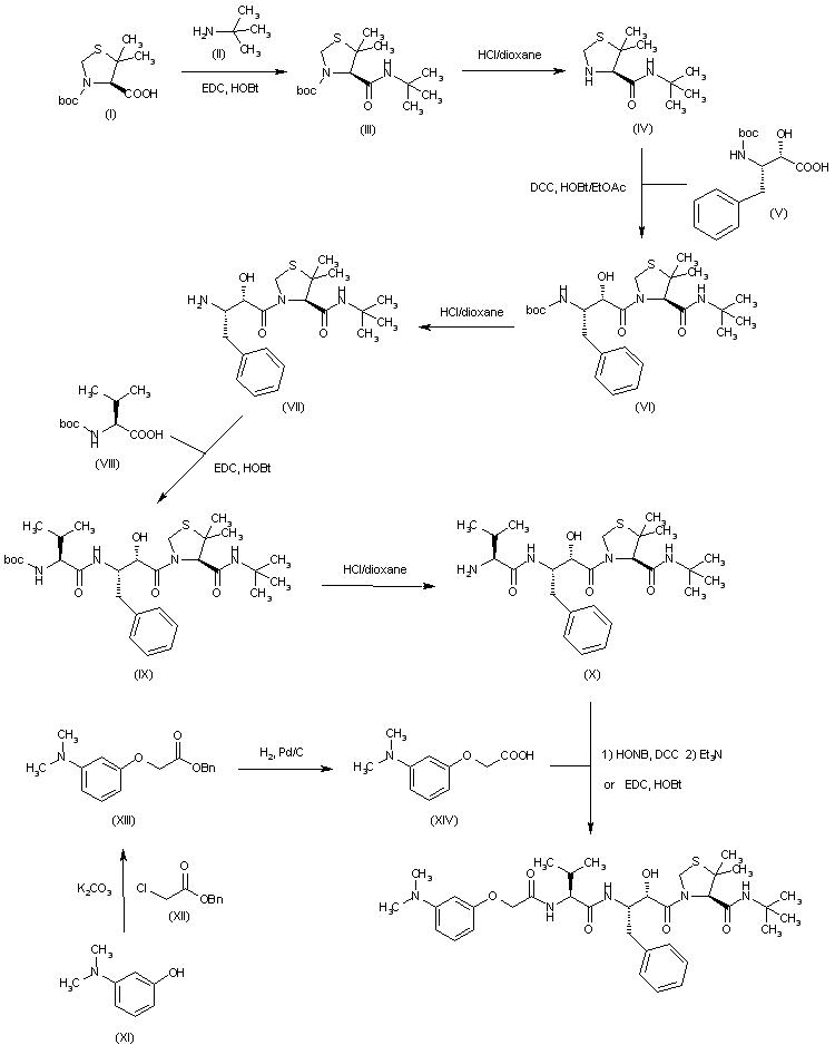
Coupling of carboxylic acid (I) with tert-butylamine (II) by means of EDC-HOBt in CH2Cl2 affords carboxamide (III), whose Boc group is removed by treatment with HCl/dioxane to provide compound (IV). Coupling of thiazolidine (IV) to Boc-protected allophenylnorstatine (V) by means of DCC and HOBt in EtOAc provides derivative (VI), whose is deprotected by treatment with HCl/dioxane to yield (VII), which is then coupled to Boc-Val-OH (VIII) with EDC-HOBt in DMF to furnish compound (IX). On the other hand, aminophenol derivative (XI) is condensed with benzyl chloroacetate (XII) in DMF in the presence of K2CO3 to furnish derivative (XIII), which is then debenzylated by hydrogenation over Pd/C in MeOH to yield acetic acid derivative (XIV). Finally, the Boc group of (IX) is removed with HCl/dioxane and the resulting amine (X) is coupled to carboxylic acid (XIV) by first treatment with N-hydroxy-5-norbornene-2,3-dicarboximide (HONB) and DCC in CH2Cl2 followed by treatment with Et3N in DMF. Alternatively, the coupling can be performed by means of EDC and HOBt in DMF.

参考文献No.591531
标题:Structure-activity relationship of orally potent tripeptide-based HIV protease inhibitors containing hydroxymethylcarbonyl isostere
作者:Mimoto, T.; Hattori, N.; Takaku, H.; Kisanuki, S.; Fukazawa, T.; Terashima, K.; Kato, R.; Nojima, S.; Misawa, S.; Ueno, T.; Imai, J.; Enomoto, H.; Tanaka, S.; Sakikawa, H.; Shintani, M.; Hayashi, H.; Kiso, Y.
来源:Chem Pharm Bull 2000,48(9),1310
合成路线图解说明:

Coupling of carboxylic acid (I) with tert-butylamine (II) by means of EDC-HOBt in CH2Cl2 affords carboxamide (III), whose Boc group is removed by treatment with HCl/dioxane to provide compound (IV). Coupling of thiazolidine (IV) to Boc-protected allophenylnorstatine (V) by means of DCC and HOBt in EtOAc provides derivative (VI), whose is deprotected by treatment with HCl/dioxane to yield (VII), which is then coupled to Boc-Val-OH (VIII) with EDC-HOBt in DMF to furnish compound (IX). On the other hand, aminophenol derivative (XI) is condensed with benzyl chloroacetate (XII) in DMF in the presence of K2CO3 to furnish derivative (XIII), which is then debenzylated by hydrogenation over Pd/C in MeOH to yield acetic acid derivative (XIV). Finally, the Boc group of (IX) is removed with HCl/dioxane and the resulting amine (X) is coupled to carboxylic acid (XIV) by first treatment with N-hydroxy-5-norbornene-2,3-dicarboximide (HONB) and DCC in CH2Cl2 followed by treatment with Et3N in DMF. Alternatively, the coupling can be performed by means of EDC and HOBt in DMF.

Drug Information Express,Drug R&D,Chemical Database,Patent Search.
Copyright © 2006-2026 Drug Future. All rights reserved.Contact Us