【药物名称】
化学结构式(Chemical Structure):
参考文献No.478945
标题:Abasic analogues of TSAO-T as the first sugar derivatives that specifically inhibit HIV-1 reverse transcriptase
作者:Vel醶quez, S.; Chamorro, C.; Perez-Perez, M.J.; Alvarez, R.; Jimeno, M.L.; Martin-Domenech, A.; Perez, C.; Gago, F.; De Clercq, E.; Balzarini, J.; San-Felix, A.; Camarasa, M.J.
来源:J Med Chem 1998,41(23),4636
合成路线图解说明:

The reduction of azide (I) with trimethylphosphine in THF gives the amine (II), which is then treated with methacryloyl isocyanate (III) in acetonitrile yielding a mixture of alpha and beta phenylureas which is separated by centrifugal circular thin layer chromatography.

合成路线图解说明:

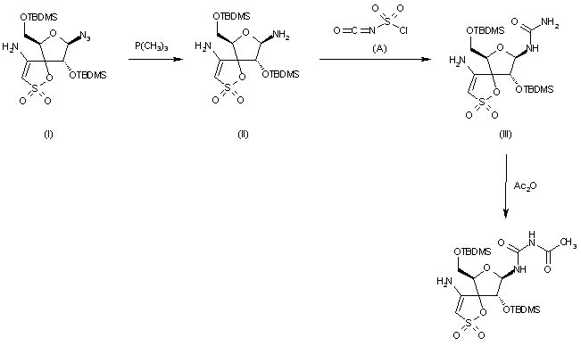
The reduction of azide (I) with trimethylphosphine in THF gives the amine (II), which is treated with chlorosulfonyl isocyanate (A) in acetonitrile yielding the urea derivative (III). Finally, this compound is acetylated with acetic anhydride in pyridine to afford a mixture of alpha and beta acetylureas which is separated by centrifugal circular thin layer chromatography.

合成路线图解说明:

The reduction of azide (I) with trimethylphosphine in THF gives the amine (II), which is then treated with phenyl isocyanate (A) in acetonitrile yielding a mixture of alpha and beta phenylureas which is separated by centrifugal circular thin layer chromatography.

Drug Information Express,Drug R&D,Chemical Database,Patent Search.
Copyright © 2006-2026 Drug Future. All rights reserved.Contact Us