【药物名称】FR-119680
化学结构式(Chemical Structure):
参考文献No.477815
标题:(1-Benzylindole-3-yl)-alkanoic acids; novel nonsteroidal inhibitors of steroid 5alpha-reductase (I)
作者:Sawada, K.; Hirai, H.; Golden, P.; Okada, S.; Sawada, Y.; Hashimoto, M.; Tanaka, H.
来源:Chem Pharm Bull 1998,46(11),1683
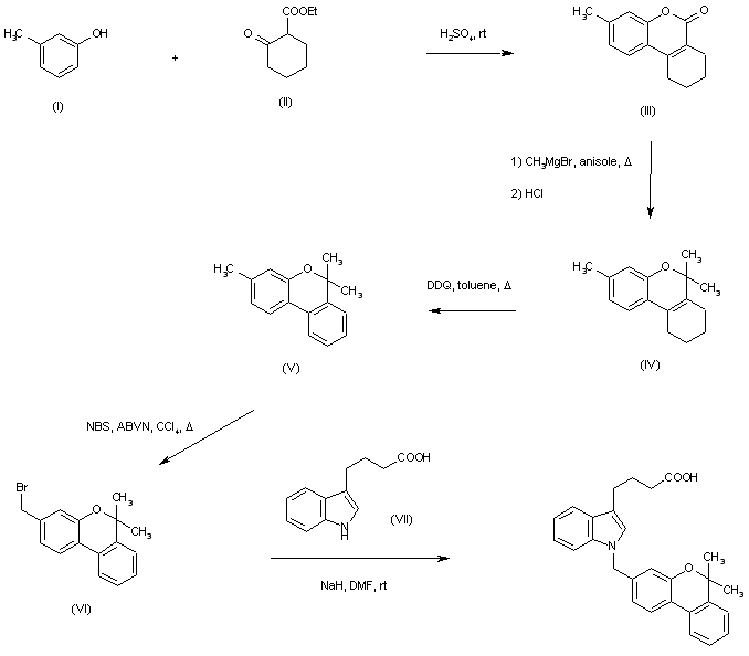
合成路线图解说明:

Cyclization of m-cresol (I) with ethyl 2-oxocyclohexanecarboxylate (II) in H2SO4 afforded tricyclic benzopyranone (III). This was treated with MeMgBr in boiling anisole to provide the tricyclic dimethylbenzopyran (IV). Dehydrogenation of (IV) using 2,3-dichloro-5,6-dicyano-1,4-benzoquinone gave dibenzopyran (V), which by further bromination with N-bromosuccinimide and 2,2'-azobis(4-methoxy-2,4-dimethylvaleronitrile) produced bromide (VI). Finally, N-alkylation of 4-(3-indolyl)butyric acid (VII) with bromide (VI) in the presence of two equivalents of NaH yielded the title compound.

Drug Information Express,Drug R&D,Chemical Database,Patent Search.
Copyright © 2006-2026 Drug Future. All rights reserved.Contact Us