【药物名称】
化学结构式(Chemical Structure):
参考文献No.478918
标题:6-Substituted 2,4-diaminopyrido[3,2-d]pyrimidine analogues of piritrexim as inhibitors of dihydrofolate reductase from rat liver, Pneumocystis carinii, and Toxoplasma gondii and as antitumor agents
作者:Gangjee, A.; Zhu, Y.; Queener, S.F.
来源:J Med Chem 1998,41(23),4533
合成路线图解说明:

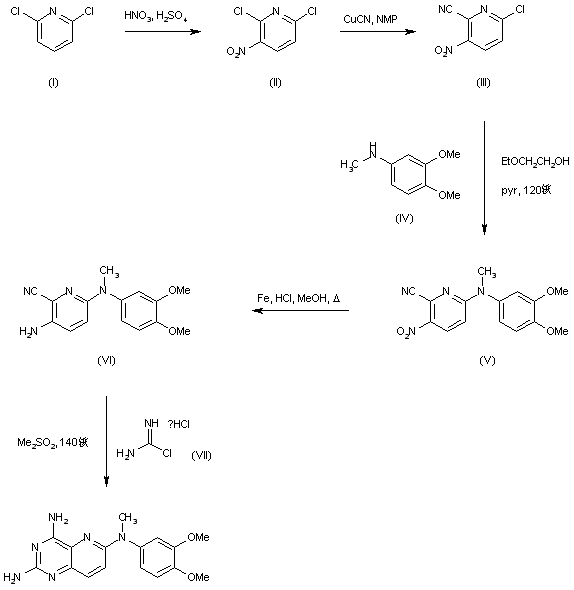
2,6-Dichloropyridine (I) was nitrated with HNO3 and H2SO4 to give nitropyridine (II). Substitution of the 2-chloro atom of (II) with cuprous cyanide at 180 C afforded nitrile (III). The remaining 6-chloro atom of (III) was then substituted with N-methyl-3,4-dimethoxyaniline (IV) in monoethyl glycol in the presence of pyridine to provide diaryl amine (V). The nitro group of (V) was further reduced with iron powder and HCl yielding the 3-amino derivative (VI). Finally, cyclization of (VI) with chloroformamidine hydrochloride (VII) in dimethylsulfone at 140 C produced the target pyridopyrimidine.

Drug Information Express,Drug R&D,Chemical Database,Patent Search.
Copyright © 2006-2026 Drug Future. All rights reserved.Contact Us