【药物名称】
化学结构式(Chemical Structure):
参考文献No.545065
标题:1,3-Disubstituted benzazepines as novel, potent, selective neuropeptide Y Y1 receptor antagonists
作者:Murakami, Y.; Hara, H.; Okada, T.; Hashizume, H.; Kii, M.; Ishihara, Y.; Ishikawa, M.; Shimamura, M.; Mihara, S.; Kato, G.; Hanasaki, K.; Hagishita, S.; Fujimoto, M.
来源:J Med Chem 1999,42(14),2621
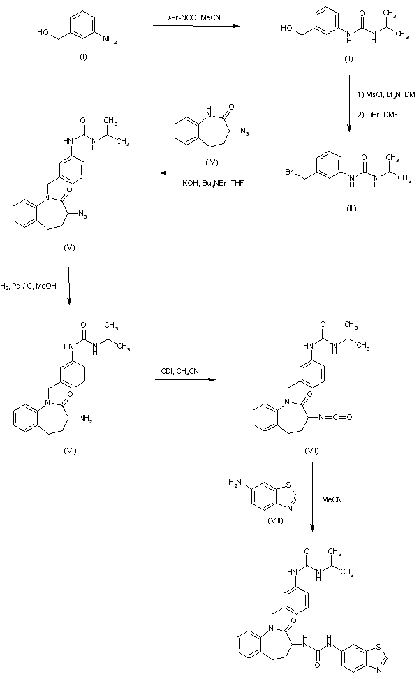
合成路线图解说明:

Treatment of 3-aminobenzyl alcohol (I) with isopropyl isocyanate produced urea (II). Mesylation of alcohol (III), followed by reaction with LiBr gave benzyl bromide (III). Then, alkylation of 3-azidobenzazepine (IV) with (III) under phase-transfer conditions afforded (V). The azido group of (V) was reduced to amine (VI) by catalytic hydrogenation over Pd/C. Subsequent treatment of (VI) with carbonyl diimidazole produced isocyanate (VII). This was finally converted to the target compound by condensation with 6-aminobenzothiazole (VIII).

Drug Information Express,Drug R&D,Chemical Database,Patent Search.
Copyright © 2006-2026 Drug Future. All rights reserved.Contact Us