【药物名称】
化学结构式(Chemical Structure):
参考文献No.474465
标题:Tumor necrosis factor-alpha production enhancing activity of substituted 3'-methylthalidomide: Influence of substituents at the phthaloyl moiety on the activity and stereoselectivity
作者:Miyachi, H.; Koiso, Y.; Shirai, R.; Niwayama, S.; Liu, J.O.; Hashimoto, Y.
来源:Chem Pharm Bull 1998,46(7),1165
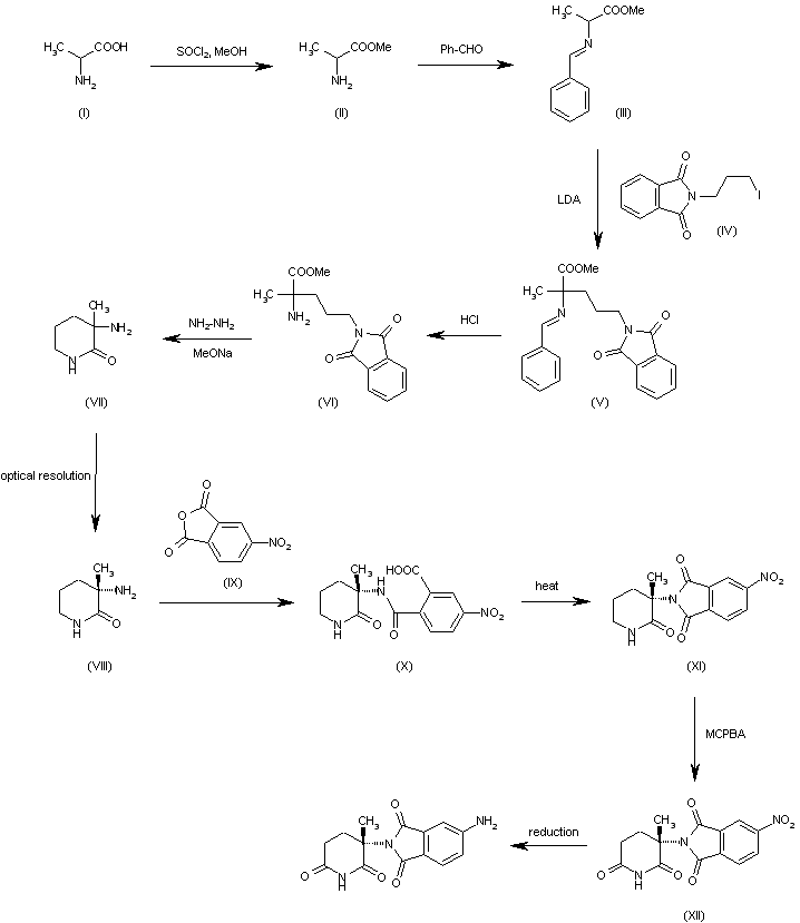
合成路线图解说明:

The esterification of 2-aminopropionic acid (I) with SOCl2 and methanol gives the methyl ester (II), whih is treated with benzaldehyde and TEA in dichloromethane yielding the benzylideneimine (III). The alkylation of (III) with N-(3-iodopropyl)phthalimide (IV) by means of LDA in THF affords the substituted pentanoate (V), which is treated with 1N HCl to give 2-amino-2-methyl-5-(phthalimido)pentanoic acid methyl ester (VI). The cyclization of (VI) by means of hydrazine and sodium methoxide in methanol yields the racemic 3-amino-3-methylpiperidin-2-one (VII), which is submitted to optical resolution with optically active binaphthyl phosphoric acid to afford 3(R)-amino-3-methy-piperidin-2-one (VIII). The reaction of (VIII) with 4-nitrophthalic anhydride (IX) in dioxane gives the amide (X), which is heated under vacuum to give the phthalimide (XI). The oxidation of (XI) with mCPBA in carbon tetrachloride yields the piperidinedione (XII), which is finally reduced at the nitro group by the usual methods.

合成路线图解说明:

The esterification of 2-aminopropionic acid (I) with SOCl2 and methanol gives the methyl ester (II), whih is treated with benzaldehyde and TEA in dichloromethane yielding the benzylideneimine (III). The alkylation of (III) with N-(3-iodopropyl)phthalimide (IV) by means of LDA in THF affords the substituted pentanoate (V), which is treated with 1N HCl to give 2-amino-2-methyl-5-(phthalimido)pentanoic acid methyl ester (VI). The cyclization of (VI) by means of hydrazine and sodium methoxide in methanol yields the racemic 3-amino-3-methylpiperidin-2-one (VII), which is submitted to optical resolution with optically active binaphthyl phosphoric acid to afford 3(S)-amino-3-methylpiperidin-2-one (VIII). The reaction of (VIII) with 4-nitrophthalic anhydride (IX) in dioxane gives the amide (X), which is heated under vacuum to give the phthalimide (XI). The oxidation of (XI) with mCPBA in carbon tetrachloride yields the piperidinedione (XII), which is finally reduced at the nitro group by the usual methods.

Drug Information Express,Drug R&D,Chemical Database,Patent Search.
Copyright © 2006-2025 Drug Future. All rights reserved.Contact Us