【药物名称】APC-2848, K02
化学结构式(Chemical Structure):
参考文献No.39097
标题:Irreversible cysteine protease inhibitors containi
作者:Rasnick, D.; Klaus, J.L.; Palmer, J.T. (Khepri Pharmaceuticals Inc.)
来源:WO 9523222
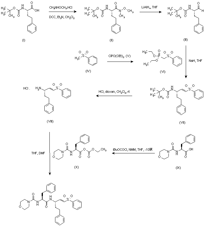
合成路线图解说明:

N-Boc-Homophenylalanine (I) was coupled to N,O-dimethyl hydroxylamine using DCC, and the resulting N-methoxy amide (II) was reduced to aldehyde (III) with LiAlH4. Sulfonyl phosphonate (VI), (prepared from methyl phenyl sulfone (IV) and diethyl chlorophosphate (V)), was then condensed with aldehyde (III) in the presence of NaH to provide the vinylogous sulfone (VII). Subsequent acid deprotection of the Boc group of (VII) yielded amine (VIII). This was finally coupled with mixed anhydride (X), (obtained from morpholinocarbonyl-phenylalanine (IX) and isobutyl chloroformate in the presence of N-methylmorpholine), to furnish the target amide.

Drug Information Express,Drug R&D,Chemical Database,Patent Search.
Copyright © 2006-2026 Drug Future. All rights reserved.Contact Us