【药物名称】
化学结构式(Chemical Structure):
参考文献No.538135
标题:New water-soluble duocarmycin derivatives: Synthesis and antitumor activity of A-ring pyrrole compounds bearing beta-heteroarylacryloyl groups
作者:Amishiro, N.; Nagamura, S.; Kobayashi, E.; Gomi, K.; Saito, H.
来源:J Med Chem 1999,42(4),669
合成路线图解说明:

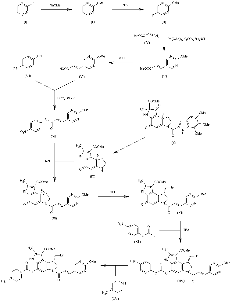
The reaction of 2-chloropyrimidine (I) with NaOMe in methanol gives 2-methoxypyrimidine (II), which is iodinated with N-iodosuccinimide (NIS) and trifluoroacetic anhydride in refluxing THF to yield 5-iodo-2-methoxypyrimidine (III). The condensation of (III) with methyl acrylate (IV) by means of Pd(OAc)2, K2CO3 and Bu4NCl at 120 C affords 3-(2-methoxypyrimidin-5-yl)acrylic acid methyl ester (V), which is hydrolyzed with KOH in methanol to provide the free acid (VI). The esterification of (VI) with p-nitrophenol (VII) by means of DCC and DMAP in dichloromethane gives the activate ester (VIII). The condensation of (VIII) with the tetracyclic ketone (IX) (obtained by treatment of the dimeric ketonic compound (X) with NaOMe in methanol) affords the adduct (XI), which is treated with HBr in acetonitrile to open the cyclopropane ring and provide the bromomethyl compound (XII). The aromatization of (XII) with p-nitrophenyl chloroformate (XIII) and TEA in dichloromethane affords the activated carbonate ester (XIV), which is finally treated with 1-methylpiperazine (XV) to furnish the target carbamate.

合成路线图解说明:

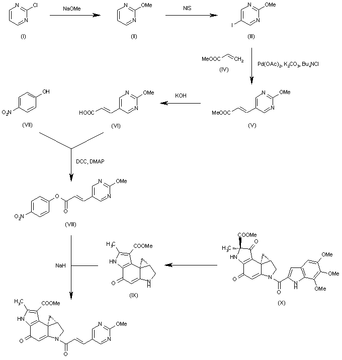
The reaction of 2-chloropyrimidine (I) with NaOMe in methanol gives 2-methoxypyrimidine (II), which is iodinated with N-iodosuccinimide (NIS) and trifluoroacetic anhydride in refluxing THF to yield 5-iodo-2-methoxypyrimidine (III). The condensation of (III) with methyl acrylate (IV) by means of Pd(OAc)2, K2CO3 and Bu4NCl at 120 C affords 3-(2-methoxypyrimidin-5-yl)acrylic acid methyl ester (V), which is hydrolyzed with KOH in methanol to provide the free acid (VI). The esterification of (VI) with p-nitrophenol (VII) by means of DCC and DMAP in dichloromethane gives the activate ester (VIII). Finally, the condensation of (VIII) with the tetracyclic ketone (IX) (obtained by treatment of the dimeric ketonic compound (X) with NaOMe in methanol) affords the target compound.

参考文献No.546834
标题:Synthesis and antitumor activity of duocarmycin derivatives: Modification of affinity moiety to DNA minor groove
作者:Nagamura, S.; et al.
来源:218th ACS Natl Meet (Aug 22 1999, New Orleans) 1999,Abst MEDI 206
合成路线图解说明:

The reaction of 2-chloropyrimidine (I) with NaOMe in methanol gives 2-methoxypyrimidine (II), which is iodinated with N-iodosuccinimide (NIS) and trifluoroacetic anhydride in refluxing THF to yield 5-iodo-2-methoxypyrimidine (III). The condensation of (III) with methyl acrylate (IV) by means of Pd(OAc)2, K2CO3 and Bu4NCl at 120 C affords 3-(2-methoxypyrimidin-5-yl)acrylic acid methyl ester (V), which is hydrolyzed with KOH in methanol to provide the free acid (VI). The esterification of (VI) with p-nitrophenol (VII) by means of DCC and DMAP in dichloromethane gives the activate ester (VIII). The condensation of (VIII) with the tetracyclic ketone (IX) (obtained by treatment of the dimeric ketonic compound (X) with NaOMe in methanol) affords the adduct (XI), which is treated with HBr in acetonitrile to open the cyclopropane ring and provide the bromomethyl compound (XII). The aromatization of (XII) with p-nitrophenyl chloroformate (XIII) and TEA in dichloromethane affords the activated carbonate ester (XIV), which is finally treated with 1-methylpiperazine (XV) to furnish the target carbamate.

合成路线图解说明:

The reaction of 2-chloropyrimidine (I) with NaOMe in methanol gives 2-methoxypyrimidine (II), which is iodinated with N-iodosuccinimide (NIS) and trifluoroacetic anhydride in refluxing THF to yield 5-iodo-2-methoxypyrimidine (III). The condensation of (III) with methyl acrylate (IV) by means of Pd(OAc)2, K2CO3 and Bu4NCl at 120 C affords 3-(2-methoxypyrimidin-5-yl)acrylic acid methyl ester (V), which is hydrolyzed with KOH in methanol to provide the free acid (VI). The esterification of (VI) with p-nitrophenol (VII) by means of DCC and DMAP in dichloromethane gives the activate ester (VIII). Finally, the condensation of (VIII) with the tetracyclic ketone (IX) (obtained by treatment of the dimeric ketonic compound (X) with NaOMe in methanol) affords the target compound.

Drug Information Express,Drug R&D,Chemical Database,Patent Search.
Copyright © 2006-2026 Drug Future. All rights reserved.Contact Us