【药物名称】NIP-142
化学结构式(Chemical Structure):
参考文献No.35678
标题:Chroman derivs.
作者:Tanikawa, K.; Ohrai, K.; Sato, M.; Yamashita, T.; Yanagihara, K. (Nissan Chemical Industry, Ltd.)
来源:EP 0934296; JP 1998087650; US 6066631; WO 9804542
合成路线图解说明:

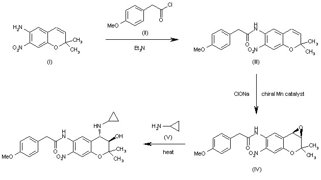
The condensation of 2,2-dimethyl-7-nitro-2H-1-benzopyran-6-amine (I) with 4-methoxyphenylacetyl chloride (II) by means of triethylmaine in chloroform gives the corresponding amide (III), which is regioselectively epoxidized with ClONa and a chiral manganese catalyst yielding the epoxide (IV). Finally, this compound is treated with cyclopropylamine in refluxing ethanol.

合成路线图解说明:

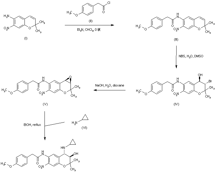
The acylation of 6-amino-2,2-dimethyl-7-nitro-2H-1-benzopyran (I) with p-methoxyphenylacetyl chloride (II) furnished amide (III). Subsequent bromination of the pyran ring of (III) employing N-bromosuccinimide in H2O-DMSO formed the trans bromohydrin (IV), which was further cyclized to epoxide (V) upon treatment with NaOH. Finally, oxirane ring opening in (IV) with cyclopropylamine (VI) in boiling EtOH yielded the title trans amino alcohol.

参考文献No.476240
标题:Structure-activity relationships and pharmacological activities of benzopyran derivatives with selective bradycardic and anti-fibrillatory effects
作者:Ohrai, K.; Sato, M.; Yanagihara, K.; Tanikawa, K.; Yamashita, T.; Shigeta, Y.
来源:Symp Med Chem 1998,Abst 1-P-29
合成路线图解说明:

The condensation of 2,2-dimethyl-7-nitro-2H-1-benzopyran-6-amine (I) with 4-methoxyphenylacetyl chloride (II) by means of triethylmaine in chloroform gives the corresponding amide (III), which is regioselectively epoxidized with ClONa and a chiral manganese catalyst yielding the epoxide (IV). Finally, this compound is treated with cyclopropylamine in refluxing ethanol.

Drug Information Express,Drug R&D,Chemical Database,Patent Search.
Copyright © 2006-2026 Drug Future. All rights reserved.Contact Us