【药物名称】Thionisoxetine-(R), (R)-Thionisoxetine, LY-368975
化学结构式(Chemical Structure):
参考文献No.23372
标题:N-Alkyl-3-phenyl-3-(2-alkylthiophenoxy)propylamines
作者:Gehlert, D.R.; Robertson, D.W.; Wong, D.T. (Eli Lilly and Company)
来源:EP 0591581
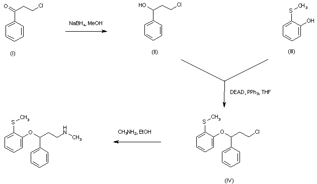
合成路线图解说明:

Reduction of 3-chloropropiophenone (I) with NaBH4 produced 3-chloro-1-phenyl-1-propanol (II). Subsequent Mitsunobu coupling of (II) with 2-(methylthio)phenol (III) in the presence of DEAD and PPh3 afforded ether (IV). Finally, substitution of the halogen of (IV) for methylamine provided the corresponding secondary amine.

Drug Information Express,Drug R&D,Chemical Database,Patent Search.
Copyright © 2006-2026 Drug Future. All rights reserved.Contact Us