【药物名称】FR-167356
化学结构式(Chemical Structure):
参考文献No.28294
标题:Benzofuran derivs. useful as inhibitors of bone resorption
作者:Kawai, Y.; Yamazaki, H.; Kayakiri, N.; Yoshihara, K.; Yatabe, T.; Oku, T. (Fujisawa Pharmaceutical Co., Ltd.)
来源:EP 0757682; JP 1997512795; US 5858995; WO 9529907
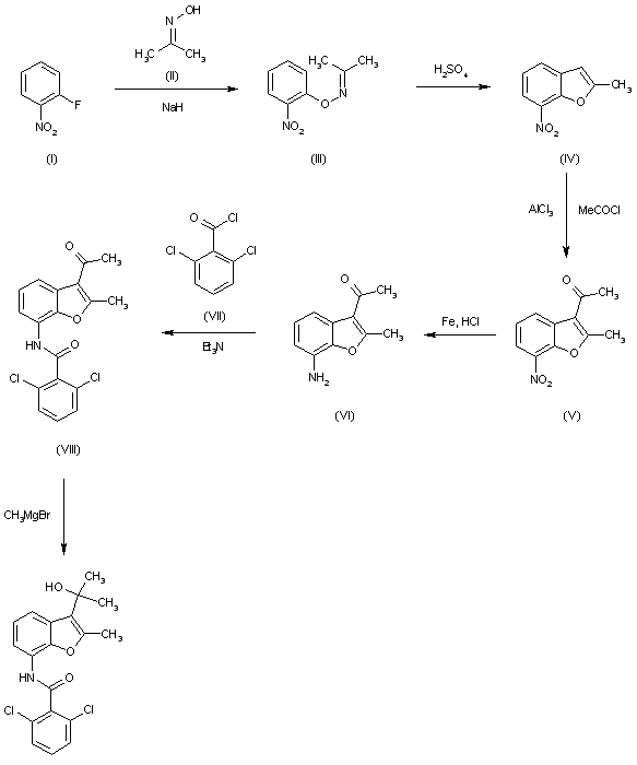
合成路线图解说明:

The condensation of 2-fluoronitrobenzene (I) with acetone oxime (II) by means of NaH in DMF gives acetone O-(2-nitrophenyl)oxime (III), which is cyclized to 2-methyl-7-nitrobenzofuran (IV) by means of H2SO4. The Friedel Crafts acylation of (IV) with acetyl chloride and AlCl3 in dichloromethane affords 3-acetyl-2-methyl-7-nitrobenzofuran (V), which is reduced to the corresponding amino derivative (VI) with Fe and HCl in ethanol. The condensation of (VI) with 2,6-dichlorobenzoyl chloride (VII) by means of triethylamine in dichloroethane yields N-(3-acetyl-2-methylbenzofuran-7-yl)-2,6-dichlorobenzamide (VIII), which is finally submitted to a Grignard reaction with methylmagnesium bromide in THF.

参考文献No.476269
标题:Synthesis and pharmacological activities of novel benzofuran derivatives as vacuolar type H+-ATPase inhibitors
作者:Yamazaki, H.; et al.
来源:Symp Med Chem 1998,Abst 2-P-32
合成路线图解说明:

The condensation of 2-fluoronitrobenzene (I) with acetone oxime (II) by means of NaH in DMF gives acetone O-(2-nitrophenyl)oxime (III), which is cyclized to 2-methyl-7-nitrobenzofuran (IV) by means of H2SO4. The Friedel Crafts acylation of (IV) with acetyl chloride and AlCl3 in dichloromethane affords 3-acetyl-2-methyl-7-nitrobenzofuran (V), which is reduced to the corresponding amino derivative (VI) with Fe and HCl in ethanol. The condensation of (VI) with 2,6-dichlorobenzoyl chloride (VII) by means of triethylamine in dichloroethane yields N-(3-acetyl-2-methylbenzofuran-7-yl)-2,6-dichlorobenzamide (VIII), which is finally submitted to a Grignard reaction with methylmagnesium bromide in THF.

Drug Information Express,Drug R&D,Chemical Database,Patent Search.
Copyright © 2006-2026 Drug Future. All rights reserved.Contact Us