【药物名称】T-3782
化学结构式(Chemical Structure):
参考文献No.29871
标题:Baccatin derivs. and processes for preparing the same
作者:Tsujihari, K.; Hashiyama, T.; Ohashi, M.; Nakanishi, N. (Tanabe Seiyaku Co., Ltd.)
来源:CA 2162759; EP 0712854; JP 1997151181; US 5589502
合成路线图解说明:

Taxane intermediates (XIII) and (XIV) were prepared by two related ways. Wittig condensation of cyclopropanecarboxaldehyde (I) with methoxycarbonylmethylenetriphenyl phosphorane (II) gave methyl trans-cyclopropylacrylate (III). This was oxidized with potassium ferricyanide in the presence of OsO4 and the chiral catalyst 1,4-bis(9-O-dihydroquinidyl)phthalazine to furnish (2S,3R)-diol (IV). After conversion of (IV) to tosylate (V), its cyclization by means of K2CO3 produced epoxide (VI). Subsequent epoxide opening with NaN3 gave azide (VII), which was hydrogenated in the presence of Pd/C and di tert-butyl dicarbonate to furnish carbamate (VIII). Treatment of (VIII) with isopropenyl methyl ether (IX) and pyridinium tosylate, followed by ester hydrolysis, produced oxazolidine (X). This was coupled to protected taxane (XI) by means of DCC and DMAP to provide ester (XII). Oxazolidine hydrolysis in (XII) with formic acid, followed by reprotection of the amine with Boc2O, furnished intermediate (XIII). Optionally, the trichloroethoxycarbonyl groups of (XIII) were removed upon treatment with Zn and AcOH to produce intermediate (XIV).

合成路线图解说明:

In a related procedure, epoxy carboxylic acid (XVII) was either obtained by basic hydrolysis of ethyl ester (XV) or by hydrogenolysis of benzyl ester (XVI). Alternatively, acid (XVII) was isolated as the dimethylaminopyridinium salt. Coupling of (XVII) with protected taxane (XI) provided ester (XVIII). Then, epoxide opening in (XVIII) with either NaN3 or Bu3SnN3 and ZnI2 gave azide (XIX). Subsequent hydrogenation of (XIX) produced amine (XX), which was treated with Boc2O to yield intermediate (XIII).

合成路线图解说明:

Coupling of taxane intermediate (XIII) with benzyloxyacetic acid (XXI) in the presence of DCC and DMAP provided ester (XXII). After hydrogenolytic deprotection of the benzyl group of (XXII), the resulting hydroxyacetate ester (XXIII) was further condensed with N-carbobenzoxy-L-aspartic acid 1-amide (XXIV) to yield (XXV). Deprotection of the trichloroethoxycarbonyl groups of (XXV) with Zn and AcOH gave (XXVI). Finally, hydrogenolytic cleavage of the N-carbobenzoxy group of (XXVI) in the presence of p-toluenesulfonic acid furnished the title compound.

合成路线图解说明:

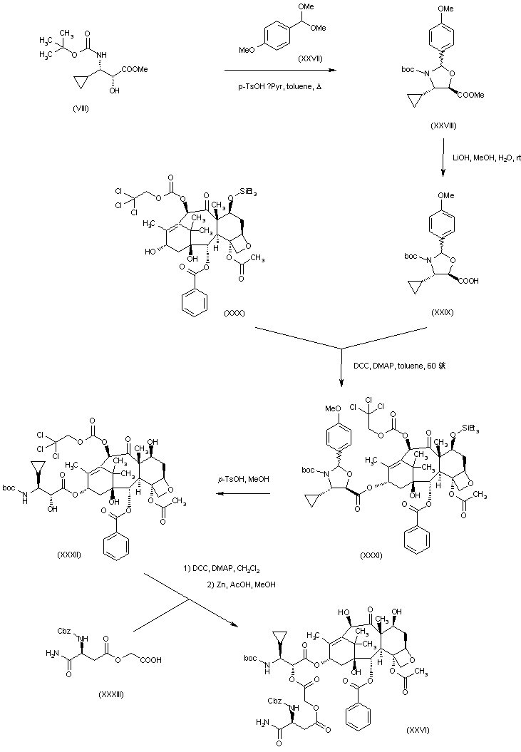
In a further procedure, hydroxy amino ester (VIII) was treated with anisaldehyde dimethyl acetal (XXVII) to provide oxazolidine (XXVIII) as a diastereomeric mixture. Ester hydrolysis of (XXVIII) with LiOH gave acid (XXIX), which was then coupled with taxane (XXX) to furnish ester (XXXI). Acidic treatment of (XXXI) cleaved the oxazolidine and deprotected the silyl ether group to produce (XXXII). Subsequent coupling of (XXXII) with acid (XXVII), followed by reductive deprotection of the trichloroethylcarbonyl group, provided intermediate (XXVI), which was finally converted into the title compound by hydrogenolysis in the presence of p-TsOH as above.

合成路线图解说明:

In an alternative procedure, acid (XXVII) was activated as the mixed anhydride (XXXV) with isopropyl chloroformate (XXXIV), and then condensed with taxane intermediate (XIV) to give ester (XXVI). Hydrogenolytic deprotection of the N-carbobenzoy group of (XXVI) yielded the title compound.

Drug Information Express,Drug R&D,Chemical Database,Patent Search.
Copyright © 2006-2026 Drug Future. All rights reserved.Contact Us