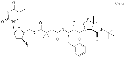
【药物名称】KNI-684
化学结构式(Chemical Structure):
参考文献No.476230
标题:A new class of potent anti-HIV agents, conjugates of HIV protease inhibitors containing carboxylic acid with reverse transcriptase inhibitor
作者:Kiso, Y.; Kimura, T.; Akaji, K.; Matsuda, T.; Matsumoto, H.; Hamawaki, T.
来源:Symp Med Chem 1998,Abst 1-P-17
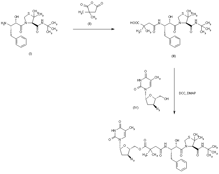
合成路线图解说明:

The condensation of amine (I) with 2,2-dimethylsuccinic anhydride (II) afforded amide (III). This was then coupled with azidothymidine (IV) using DCC and DMAP to furnish the title compound.

合成路线图解说明:

The condensation of azidothymidine (I) with 2,3-dimethylsuccinic anhydride (II) afforded amide (III). This was then coupled with amine (IV) using DCC and HOBt to furnish the title compound.

Drug Information Express,Drug R&D,Chemical Database,Patent Search.
Copyright © 2006-2026 Drug Future. All rights reserved.Contact Us