【药物名称】
化学结构式(Chemical Structure):
参考文献No.477006
标题:Synthesis and antiallergic activity of pyridothienopyrimidines
作者:Quintela, J.M.; Peinador, C.; Veiga, C.; Gonzalez, L.; Botana, L.M.; Alfonso, A.; Riguera, R.
来源:Bioorg Med Chem 1998,6(10),1911
合成路线图解说明:

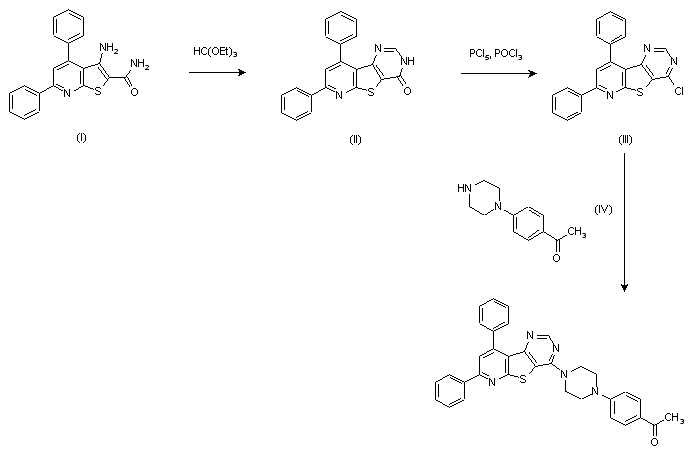
Refluxing aminocarboxamide (I) with triethyl orthoformate afforded the pyridothienopyrimidine (II). Then, treatment of (II) with PCl5 and POCl3 yielded the corresponding chloro derivative (III). Finally, the title compound was obtained by substitution of the chloro group with N-(4-acetylphenyl)piperazine (IV) in refluxing ethanol.

Drug Information Express,Drug R&D,Chemical Database,Patent Search.
Copyright © 2006-2026 Drug Future. All rights reserved.Contact Us