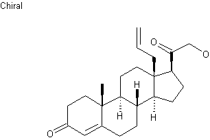
【药物名称】18-VDOC
化学结构式(Chemical Structure):
参考文献No.476346
标题:18-Vinyldeoxycorticosterone: A potent inhibitor of the bovine cytochrome P-450(11beta)
作者:Davioud, E.; Piffeteau, A.; Delorme, C.; Coustal, S.; Marquet, A.
来源:Bioorg Med Chem 1998,6(10),1781
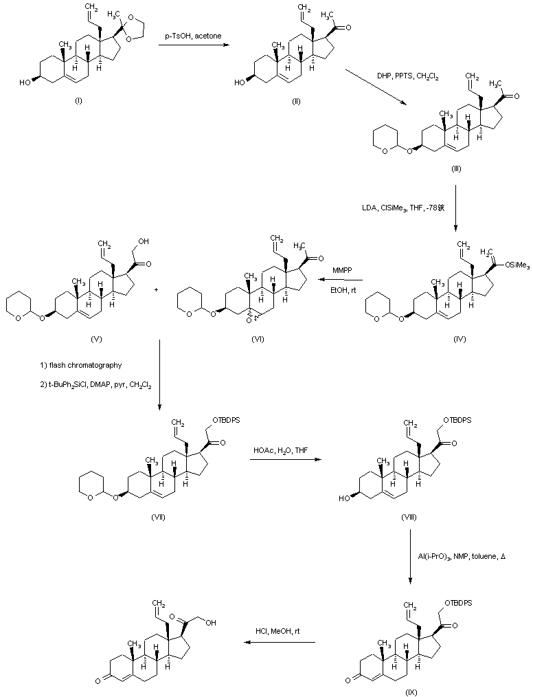
合成路线图解说明:

Hydrolysis of ketal (I) with p-toluenesulfonic acid in acetone provided ketone (II). The hydroxyl group of (II) was then protected as the tetrahydropyranyl ether (III) using dihydropyran and pyridinium p-toluenesulfonate. Treatment of the methyl ketone (III) with LDA at -78 C, followed by quenching with trimethylsilyl chloride afforded the silyl enol ether (IV). Oxidation of (IV) with magnesium monoperoxyphthalate in EtOH furnished the hydroxyketone (V) along with minor amounts of the 5,6-epoxide (VI), which were separated by flash chromatography. The hydroxyketone (V) was further protected as the silyl ether (VII) using tert-butyldiphenylsilyl chloride and DMAP. Acid deprotection of the tetrahydropyranyl ether of (VII) then gave the 3-hydroxy compound (VIII), which after Oppenauer oxidation with aluminum isopropoxide in N-methylpiperidone and toluene afforded the conjugated ketone (IX). The silyl protecting group of (IX) was finally removed by treatment with methanolic HCl.

Drug Information Express,Drug R&D,Chemical Database,Patent Search.
Copyright © 2006-2026 Drug Future. All rights reserved.Contact Us