【药物名称】
化学结构式(Chemical Structure):
参考文献No.476341
标题:2,2'-Dithiobisbenzamides derived from alpha-, beta- and gamma-amino acids possessing anti-HIV activities: Synthesis and structure-activity relationship
作者:Vara Prasad, J.V.N.; Loo, J.A.; Boyer, F.E.; Stier, M.A.; Gogliotti, R.D.; Turner, W.J.; Harvey, P.J.; Kramer, M.R.; Mack, D.P.; Scholten, J.D.; Gracheck, S.J.; Domagala, J.M.
来源:Bioorg Med Chem 1998,6(10),1707
合成路线图解说明:

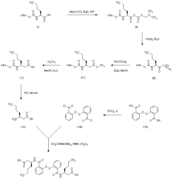
Mixed anhydride (II), prepared from N-Boc-L-norleucine (I) and isobutyl chloroformate in the presence of Et3N, was reacted with ethereal diazomethane to afford diazoketone (III). Then, homologation of (III) into b-amino ester (IV) was accomplished by treatment with silver benzoate and Et3N in MeOH. Subsequent hydrolysis of (IV) of the ester function with K2CO3 in aqueous MeOH, followed by Boc deprotection with HCl in dioxan furnished the b-amino acid (VI). After conversion to the trimethylsilyl amine with N-methyl-N-(trimethylsilyl)acetamide, amino acid (VI) was coupled with 2,2'-dithiobisbenzoyl cloride (VIII), prepared from acid (VII) and thionyl chloride, to yield the target bisamide.

Drug Information Express,Drug R&D,Chemical Database,Patent Search.
Copyright © 2006-2026 Drug Future. All rights reserved.Contact Us