【药物名称】
化学结构式(Chemical Structure):
参考文献No.476287
标题:Orally active indole N-oxide PDE4 inhibitors
作者:Hulme, C.; Mathew, R.; Moriarty, K.; Miller, B.; Ramanjulu, M.; Cox, P.; Souness, J.; Page, K.M.; Uhl, J.; Travis, J.; Labaudiniere, R.; Huang, F.; Djuric, S.W.
来源:Bioorg Med Chem Lett 1998,8(21),3053
合成路线图解说明:

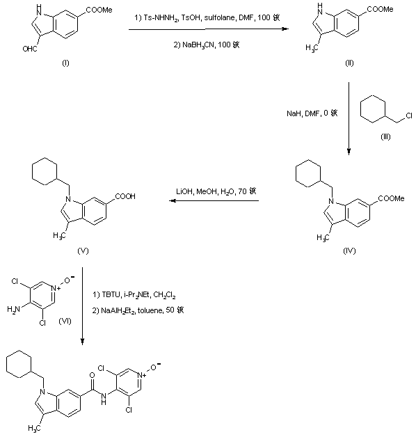
Methyl 3-formylindole-6-carboxylate (I) was converted to hydrazone with p-toluenesulfonylhydrazide and then reduced with NaBH3CN to the 3-methyl indole (II). Subsequent N-alkylation of (II) with chloride (III) afforded the (cyclohexylmethyl)indole (IV). Further methyl ester hydrolysis in (IV) using LiOH produced carboxylic acid (V). After activation of (V) with 2-(1H-benzotriazol-1-yl)-1,1,3,3-tetramethyluronium tetrafluoroborate (TBTU), coupling with 3,5-dichloro-4-aminopyridine N-oxide (VI) yielded the target amide.

Drug Information Express,Drug R&D,Chemical Database,Patent Search.
Copyright © 2006-2026 Drug Future. All rights reserved.Contact Us