【药物名称】
化学结构式(Chemical Structure):
参考文献No.476285
标题:Synthesis and in vitro cytotoxicity of 3-substituted-1,8-diazaanthraquinones produced by Lewis-acid catalyzed hetero Diels-Alder reaction
作者:Lee, H.; Lee, S.I.; Yang, S.I.
来源:Bioorg Med Chem Lett 1998,8(21),2991
合成路线图解说明:

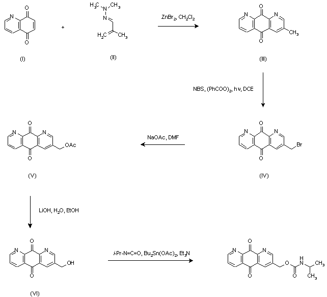
The hetero Diels-Alder condensation of quinolinedione (I) with the azabutadiene (II) in the presence of ZnBr2 produced regioselectively the pyridoquinoline (III). Benzylic bromination of (III) using N-bromosuccinimide then gave bromomethyl derivative (IV). Subsequent treatment of (IV) with NaOAc in DMF, followed by hydrolysis of the resulting acetate (V), afforded 3-(hydroxymethyl)pyridoquinoline (VI). This was finally treated with isopropyl isocyanate in the presence of Et3N and dibutyltin diacetate to yield the target carbamate. (1,2)

参考文献No.779910
标题:Synthesis and in vitro evaluation of 1,8-diazaanthraquinones bearing 3-dialkylaminomethyl or 3-(N-alkyl- or N-aryl)carbamoyloxymethyl substituent
作者:Lee, H.; Lee, S.-I.; Cho, J.; Choi, S.U.; Yang, S.-I.
来源:Eur J Med Chem 2003,38(7-8),695
合成路线图解说明:

The hetero Diels-Alder condensation of quinolinedione (I) with the azabutadiene (II) in the presence of ZnBr2 produced regioselectively the pyridoquinoline (III). Benzylic bromination of (III) using N-bromosuccinimide then gave bromomethyl derivative (IV). Subsequent treatment of (IV) with NaOAc in DMF, followed by hydrolysis of the resulting acetate (V), afforded 3-(hydroxymethyl)pyridoquinoline (VI). This was finally treated with isopropyl isocyanate in the presence of Et3N and dibutyltin diacetate to yield the target carbamate. (1,2)

Drug Information Express,Drug R&D,Chemical Database,Patent Search.
Copyright © 2006-2026 Drug Future. All rights reserved.Contact Us