【药物名称】
化学结构式(Chemical Structure):
参考文献No.476283
标题:Synthesis of C-ring aromatic taxoids and evaluation of their multi-drug resistance reversing activity
作者:Morihira, K.; Nishimori, T.; Kusama, H.; Horiguchi, Y.; Kuwajima, I.; Tsuruo, T.
来源:Bioorg Med Chem Lett 1998,8(21),2973
合成路线图解说明:

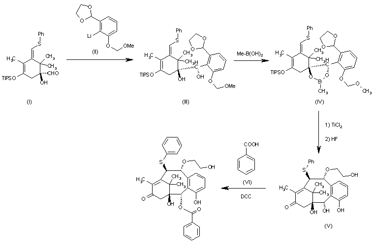
The reaction of the chiral hydroxyaldehyde (I) with the phenyllithium derivative (II) gives the condensation product (III), which is protected with methylboronic acid yielding the cyclic boronate (IV). The cyclization of (IV) by means of TiCl4 followed by a treatment with HF affords the tricyclic tetrol (V), which is finally selectively benzoylated with benzoic acid and DCC to give the target monobenzoate.

Drug Information Express,Drug R&D,Chemical Database,Patent Search.
Copyright © 2006-2026 Drug Future. All rights reserved.Contact Us