【药物名称】
化学结构式(Chemical Structure):
参考文献No.476282
标题:Synthesis of benzanilide derivatives as dual actin
作者:Yoshida, K.; Horikoshi, Y.; Eta, M.; Chikazawa, J.; Ogishima, M.; Fukuda, Y.; Sato, H.
来源:Bioorg Med Chem Lett 1998,8(21),2967
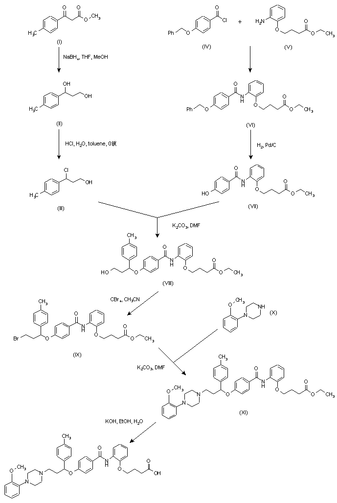
合成路线图解说明:

Reduction of ketoester (I) with NaBH4 in THF-MeOH afforded diol (II), which was treated with HCl in toluene to give chlorohydrin (III). Benzanilide (VII) was prepared by condensation of acid chloride (IV) with aniline (V), followed by catalytic hydrogenolysis of the resulting benzyl ether (VI). Then, alkylation of phenol (VII) with chloride (III) in the presence of K2CO3 provided ether (VIII). The hydroxyl group of (VIII) was converted to bromide (IX) using CBr4 and this compound was condensed with N-(2-methoxyphenyl)piperazine (X) to produce disubstituted piperazine (XI). The ethyl ester group of (XI) was finally hydrolyzed using KOH in aqueous EtOH.

Drug Information Express,Drug R&D,Chemical Database,Patent Search.
Copyright © 2006-2026 Drug Future. All rights reserved.Contact Us